EasyManua.ls Logo

Volvo D9 - Page 23

Volvo D9
36 pages
Print Icon
To Next Page IconTo Next Page
To Next Page IconTo Next Page
To Previous Page IconTo Previous Page
To Previous Page IconTo Previous Page
Loading...
Genset
In case of Genset engines, it is important that engine
speed does not drop below nominal speed. The ‘droop’
will add an offset to nominal engine speed.
n
target
= n
droop
- n
delta
(1)
n
droop
= n
nominal
+ n
nominal
*droop (2)
The amount of droop is set as a percentage of nominal
speed. Increased nominal speed will affect droop
speed.
n
delta
= Trq
output
[Nm] / GovGradient [Nm/rpm] (3)
GovGradient = 'Rated engine torque' /
(n
nominal
* droop/100)
(2), (3) in (1) =>
n
target
= n
nominal
+ n
nominal
* droop
( 1 - Trq
output
/ Trq
rated
)
If the engines run at very low load, the target engine
speed will increase towards the droop speed. When
the load increases towards rated torque, target speed
will approach rated engine speed.
When several Gensets are used together, a low torque
output will thus increase the target speed and the
engine will have a larger share of the load.
Bus interface
Associated message:
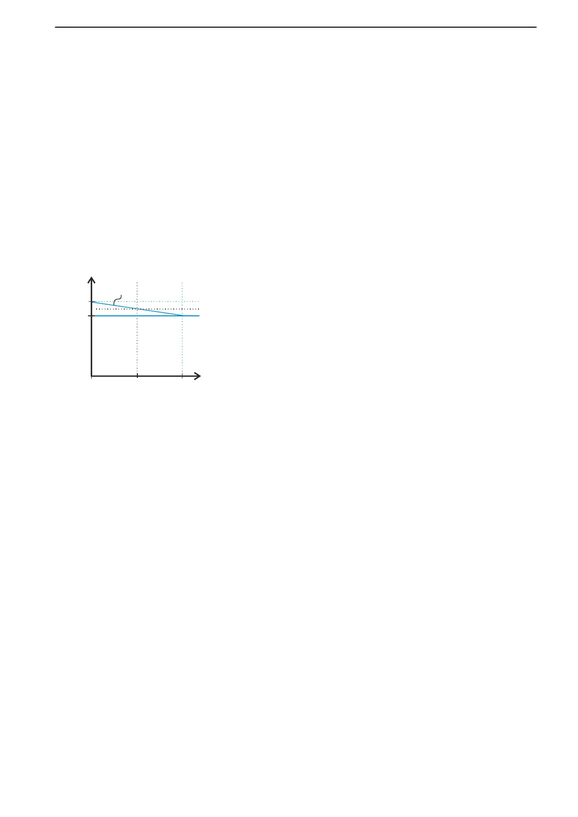
BB1: Rx: VP70 'Governor mode select'
ndroop
ndelta
ntarget
B
0
}
A
P0020853
nnominal
D
}
droop
Engine speed (rpm)
C Engine torque (Nm)
Trqrated
Trqoutput
Droop for Genset engines
A Engine speed (rpm)
B Torque output
C Engine torque (Nm)
D Torque output Rated
Engine control interface, Governor mode select
47706587 05-2015 © AB VOLVO PENTA 21

Related product manuals