EasyManua.ls Logo

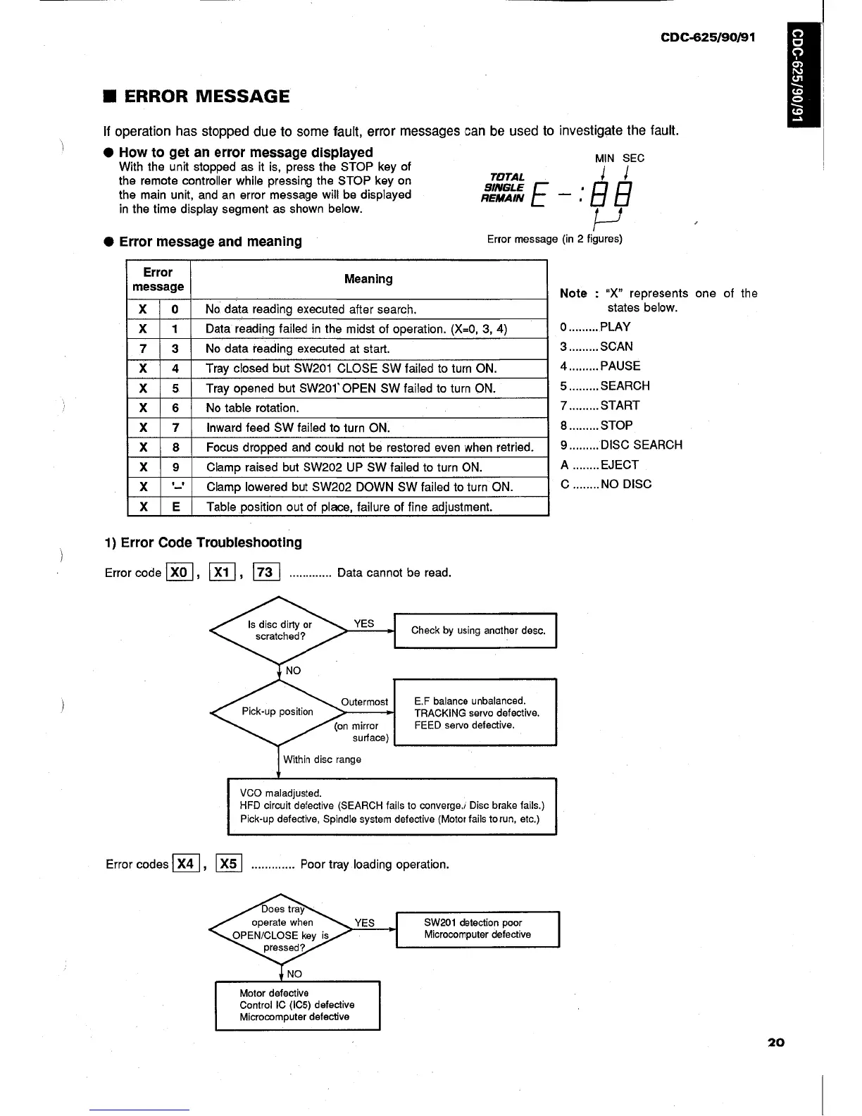
Yamaha CDC-90 - Error Message; Getting an Error Message Displayed; Error Message and Meaning; Error Code Troubleshooting

Yamaha CDC-90
48 pages
Print Icon
To Next Page IconTo Next Page
To Next Page IconTo Next Page
To Previous Page IconTo Previous Page
To Previous Page IconTo Previous Page
Loading...

Table of Contents

Related product manuals