EasyManua.ls Logo

Zapi AC-2 - Page 32

Zapi AC-2
64 pages
Print Icon
To Next Page IconTo Next Page
To Next Page IconTo Next Page
To Previous Page IconTo Previous Page
To Previous Page IconTo Previous Page
Loading...
- OFF: the battery discharge level check is carried out but no alarm is
signalled.
Very important:
In the combi system (pump + traction), the battery discharge calculation for
the complete system is carried out by the traction inverter; the information
about the pump inverter consumption is sent on the can-bus line from the
pump inverter to the traction inverter. So the correct programming for the
"Battery check" option is :
- traction inverter: ON
- pump inverter: OFF.
3) SET TEMPERATURE
- DIGITAL: a digital (ON/OFF) motor thermal sensor is connected to F6
input.
- ANALOG: an analog motor thermal sensor is connected between F6
and F12 (the curve can be customized on a customer request).
- NONE: no motor thermal sensor switch is connected.
SUBMENU "ADJUSTMENTS"
1) SET BATTERY TYPE
It selects the nominal battery voltage.
2) ADJUST BATTERY
Fine adjustment of the battery voltage measured by the controller.
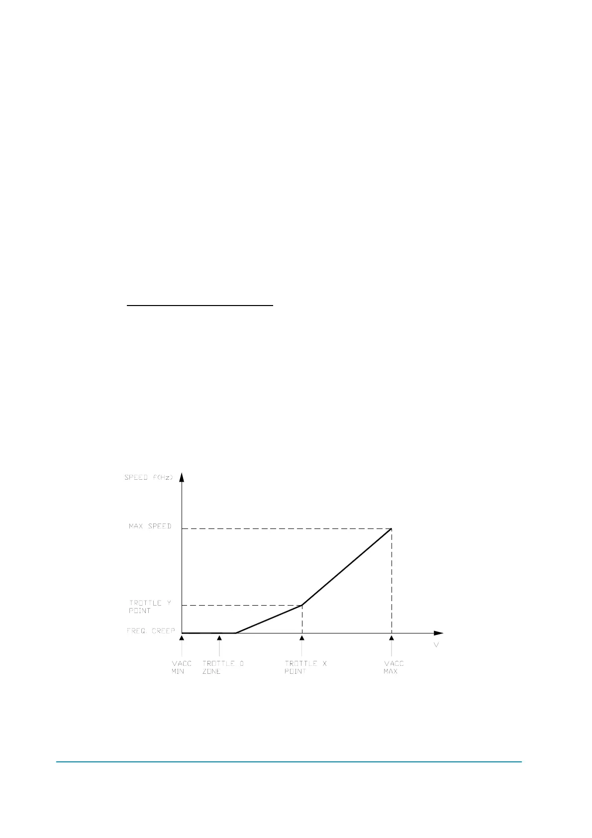
3) THROTTLE 0 ZONE
It establishes a deadband in the accelerator input curve (see also curve
below).
4) THROTTLE X POINT
This parameter changes the characteristic of the accelerator input curve.
5) THROTTLE Y POINT
This parameter changes the characteristic of the accelerator input curve.
VACC MIN and VACC MAX are values programmable by the "Program
Vacc" function.
6) ADJUSTMENT #04
This parameter determines the motor temperature level at which the “Motor
temperature” alarm is signalled. The range is from 70 °C to 160 °C with 10 °C
steps. This parameter must be adjusted only if the “Set temperature” (menu
Page - 32/64 ADEZP0AE - AC-2 INVERTER - User Manual

Table of Contents

Related product manuals