EasyManua.ls Logo

Zipro Easy - Page 82

Default Icon
Print Icon
To Next Page IconTo Next Page
To Next Page IconTo Next Page
To Previous Page IconTo Previous Page
To Previous Page IconTo Previous Page
Loading...
82
Patikrinkite judančiąsias įrenginio dalis. Jeigu jos nėra pakankamai suteptos, sutepkite jas dviračių
guoliams skirtu tepalu.
Patikrinkite varžtus ir veržles. Šios dalys turi būti gerai prisuktos.
Po kiekvienos treniruotės nuo įrenginio nuvalykite prakaitą. Atkreipkite dėmesį į tai, kad monitorius
nesušlaptų ir nesudrėktų.
Įrenginio valymui naudokite tik vandenį su muilu. Nenaudokite valiklių.
Įrenginį laikykite sausoje ir šiltoje vietoje.
Saugokite įrenginį nuo tiesioginių saulės spindulių.
TRENIRUOTĖS IR PRATIMŲ ETAPAI
Šis įrenginys duos Jums daug naudos. Visų pirma, pagerės Jūsų fizinė būklė, sustiprės raumenys, o jeigu
kartu laikysitės atitinkamos mitybos, sudeginsite nereikalingą riebalinį sluoksnį.
1. APŠILIMAS
Šis pratimų etapas pagerina kraujo apytaką visame kūne ir paruošia raumenis didesniam krūviui. Tokiu būdu
sumažėja mėšlungio ir sužeidimų pavojus. Patartina atlikti kelis toliau nurodytus tempimo pratimus. Jei
jaučiate skausmą, baikite sportuoti arba sumažinkite judesio diapazoną.
TEMPIMO PRATIMAI
VIDINĖS ŠLAUNŲ PUSĖS RAUMENŲ TEMPIMAS
Atsisėskite ant lygaus paviršiaus. Kojos sulenktos, keliai nukreipti į išorę. Sujunkite pėdas ir
pritraukite jas kiek galite arčiau savęs. Švelniai spauskite kelius pagrindo kryptimi ir išbūkite tokioje
padėtyje 15 sekundžių.
ŠLAUNŲ RAUMENŲ TEMPIMAS
Atsisėskite ant lygaus paviršiaus. Ištieskite dešinę koją, o kairę pėdą pritraukite prie dešiniosios
šlaunies. Dešinę ranką ištieskite dešinės pėdos pirštų link kaip galima toliau. Išbūkite tokioje
padėtyje 15 sekundžių. Pakartokite šiuos pratimus kaire koja.
POSŪKIAI GALVA
Laikykite galvą tiesiai ir žiūrėkite prieš save. Nejudindami pečių, pasukite galvą į dešinę ir grįžkite į
pradinę padėtį. Pasukite į kairę ir grįžkite į pradinę padėtį.
RANKŲ KĖLIMAS
Kairę ranką pakelkite kiek galite aukščiau ir išbūkite tokioje padėtyje kelias sekundes. Pakartokite
pratimą dešine ranka.
ACHILO SAUSGYSLĖS TEMPIMAS
Atsistokite veidu į sieną. Kairę koją ištraukite į priekį ir šiek tiek sulenkite per kelį. Dešinę koją
laikykite ištiestą atgal, pėdą laikykite priglaustą ant grindų. Abi pėdas laikydami priglaustas prie
grindų, spauskite klubus sienos link. Išlaikykite tokioje padėtyje 30 sekundžių. Pakartokite pratimą
su ištraukta į priekį dešine koja. Stebėkite, kad pratimo metu pečiai nebūtų palenkti į priekį.
PASILENKIMAI
Atsistokite. Kojos suglaustos. Pasilenkite į priekį, stengdamiesi krūtinę kuo arčiau priartinti prie
kelių. Išbūkite tokioje padėtyje 15 sekundžių. Nelenkite kelių.
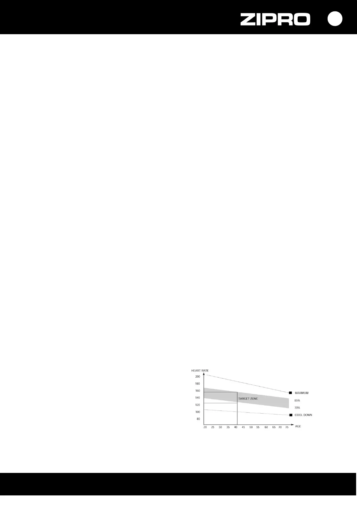
2. TIKRASIS TRENIRUOTĖS ETAPAS
Tai pagrindinė treniruotės dalis. Pasirinkite savo tempą
taip, kad būtų pasiektas Jūsų amžių atitinkantis pulsas
(žr. toliau pateiktą iliustraciją).
3. ATSIPALAIDAVIMO ETAPAS
Šis etapas leidžia sulėtinti kraujo apytaką ir atpalaiduoti
raumenis. Kartojami apšilimo pratimai.
Nepamirškite, kad raumenys negali būti per daug įtempti.

Related product manuals