EasyManua.ls Logo

Zipro Nix - Page 162

Zipro Nix
Print Icon
To Next Page IconTo Next Page
To Next Page IconTo Next Page
To Previous Page IconTo Previous Page
To Previous Page IconTo Previous Page
Loading...
162
ES
Limpiar el dispositivo solamente con agua y jabón. No usar productos de limpieza.
Guardar el dispositivo en lugar seco y con temperatura estable.
No exponer directamente a la luz solar.
ENTRENAMIENTO Y ETAPAS DE EJERCICIOS
El uso de este dispositivo resultará muy ventajoso para ti. Ante todo, mejorará tu estado físico, reforzará los
músculos y permitirá quemar el exceso de grasa, si implementas también una dieta adecuada.
1. PRECALENTAMIENTO
Esta etapa mejora la circulación sanguínea en tu cuerpo y prepara los músculos para un ejercicio intenso.
Reduce el riesgo de tirones y lesiones. Se recomienda realizar también unos ejercicios de estiramiento,
según se indica a continuación. Si sientes dolor, deja de hacer ejercicio o reduce el rango del movimiento
realizado.
EJERCICIOS DE ESTIRAMIENTO
ESTIRAMIENTO DE MÚSCULOS INTERNOS DE MUSLOS.
Siéntate en superficie plana, con piernas dobladas y rodillas hacia afuera. Une las plantas de los
pies y acércalos al cuerpo todo lo posible. Presiona suavemente las rodillas hacia el suelo y mantén
en esta posición durante 15 segundos.
ESTIRAMIENTO DE MUSLOS.
Siéntate en superficie plana. Estira la pierna derecha y coloca la planta del pie izquierdo junto al
muslo derecho. Estira el brazo derecho hacia los dedos de la pierna derecha. Procura llegar los más
lejos que puedas. Aguanta durante 15 segundos. Repetir esta acción con la pierna izquierda.
GIROS DE CABEZA.
Mira de frente. No muevas los hombros y gira la cabeza a la derecha e izquierda. Vuelve a posición
inicial.
ELEVACIÓN DE HOMBROS.
Estira el brazo izquierdo hacia arriba al máximo y mantenlo en esta posición unos segundos.
Repetir esta acción con brazo derecho.
ESTIRAMIENTO DE TENDÓN DE AQUILES.
Ponte de cara a la pared, desplaza la pierna izquierda hacia adelante y dobla ligeramente la rodilla.
Mantener la pierna derecha atrás - estirada, con talón apoyado en el suelo. Mantener ambos
talones en el suelo, presionar la cadera hacia la pared. Mantener esta posición durante 30
segundos. Repetir esta acción con la pierna derecha adelantada. No doblar la espalda en arco, al
hacer este ejercicio.
INCLINACIONES.
Estando de pie, junta las piernas. Haz una inclinación hacia adelante, tratando de acercar el pecho hacia las
rodillas. Aguanta durante 15 segundos. No dobles las rodillas.
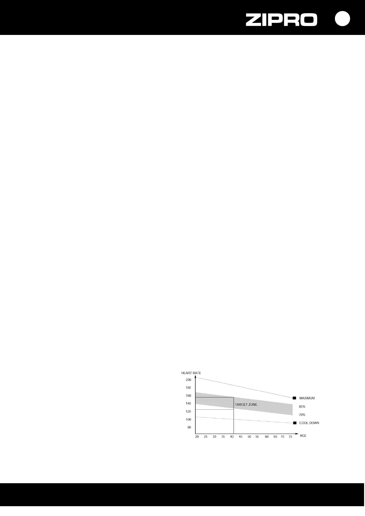
2. ETAPA DE EJERCICIOS
La etapa más intensa del entrenamiento. Haz
ejercicio a tu ritmo, para alcanzar el ritmo
adecuado a tu edad, indicado en el gráfico.
3. ETAPA DE RELACIÓN
Esta etapa permite calmar la circulación y relajar
los músculos. Es una repetición de los ejercicios
de
precalentamiento. No esforzar excesivamente los
músculos.

Table of Contents

Related product manuals