EasyManua.ls Logo

ABB DMP 132-4S - Page 18

ABB DMP 132-4S
52 pages
To Next Page IconTo Next Page
To Next Page IconTo Next Page
To Previous Page IconTo Previous Page
To Previous Page IconTo Previous Page
Loading...
16
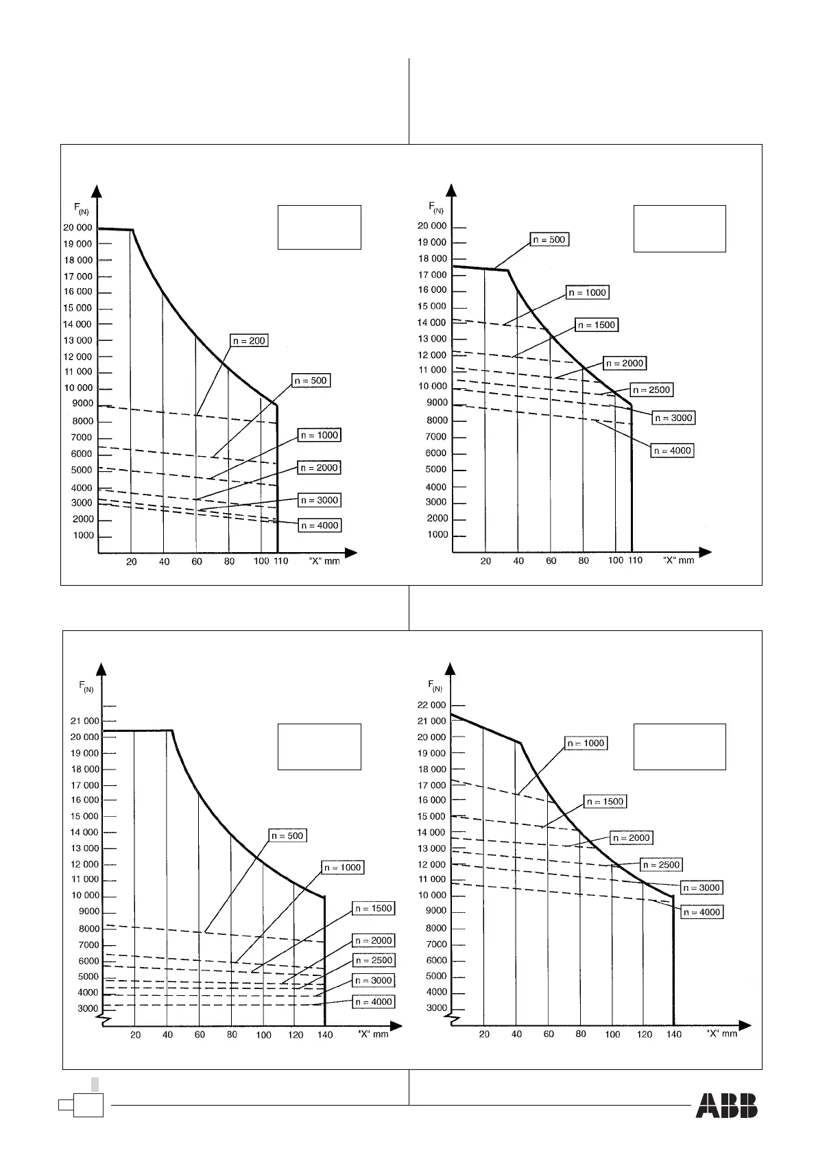
DMP 180-4S, -4M und
/and
-4L
DMP 180-4LB/LC
Kugellager
Ball bearing
Rollenlager
Roller bearing
Rollenlager
Roller bearing
Kugellager
Ball bearing
Alignment
Permissible bearing load
Ausrichtung
Zulässige Lagerlast

Table of Contents

Related product manuals