EasyManua.ls Logo

ABB DMP 180-4LB - Page 18

ABB DMP 180-4LB
52 pages
Print Icon
To Next Page IconTo Next Page
To Next Page IconTo Next Page
To Previous Page IconTo Previous Page
To Previous Page IconTo Previous Page
Loading...
16
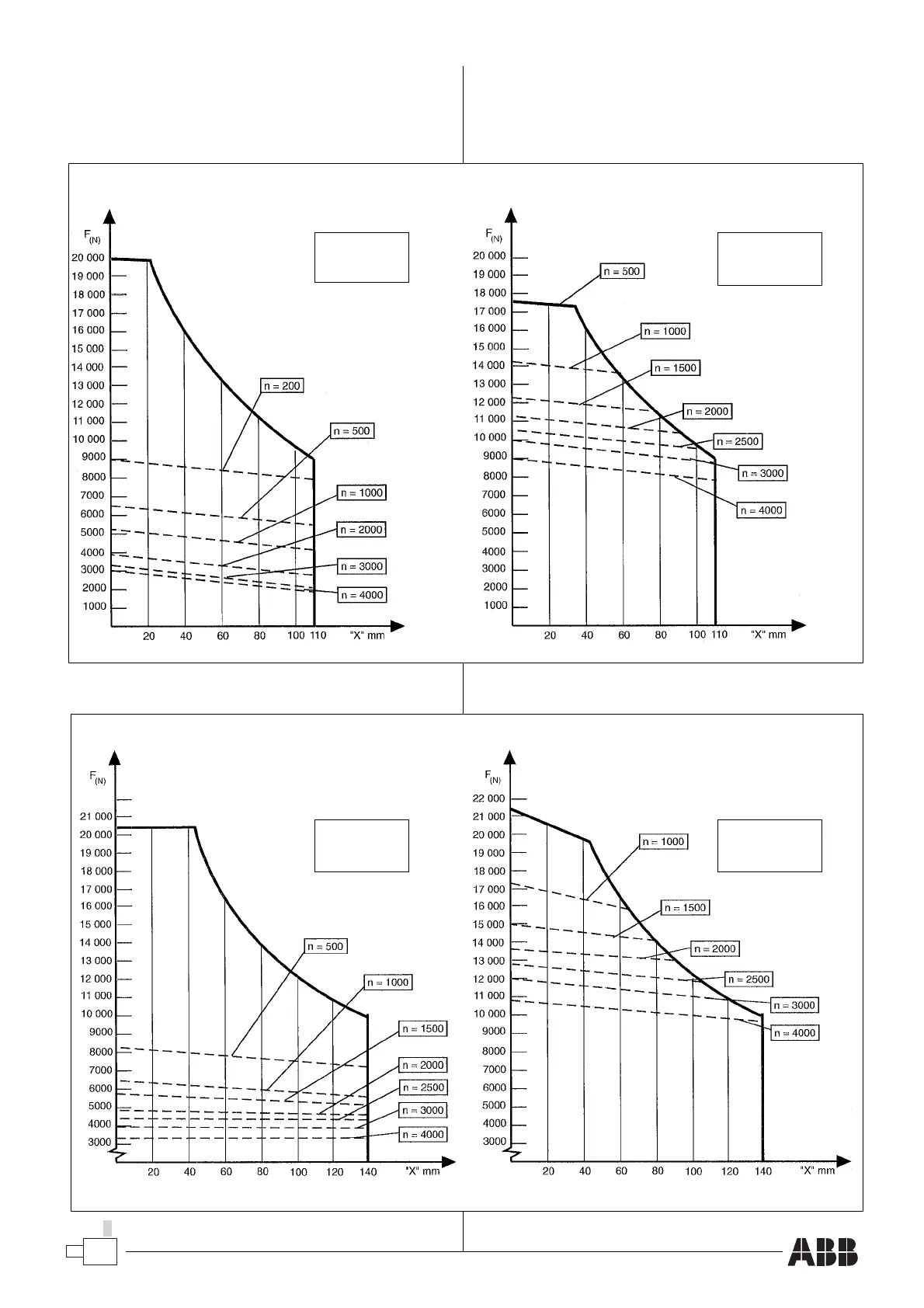
DMP 180-4S, -4M und
/and
-4L
DMP 180-4LB/LC
Kugellager
Ball bearing
Rollenlager
Roller bearing
Rollenlager
Roller bearing
Kugellager
Ball bearing
Alignment
Permissible bearing load
Ausrichtung
Zulässige Lagerlast

Table of Contents

Related product manuals