EasyManua.ls Logo

AEA R84 - Accessories Included

AEA R84
16 pages
Print Icon
To Next Page IconTo Next Page
To Next Page IconTo Next Page
To Previous Page IconTo Previous Page
To Previous Page IconTo Previous Page
Loading...
15
Accessories Included:
Vertical softcase, user manual, captive 10” (3 meter)
output cable with XLR-3M connector.
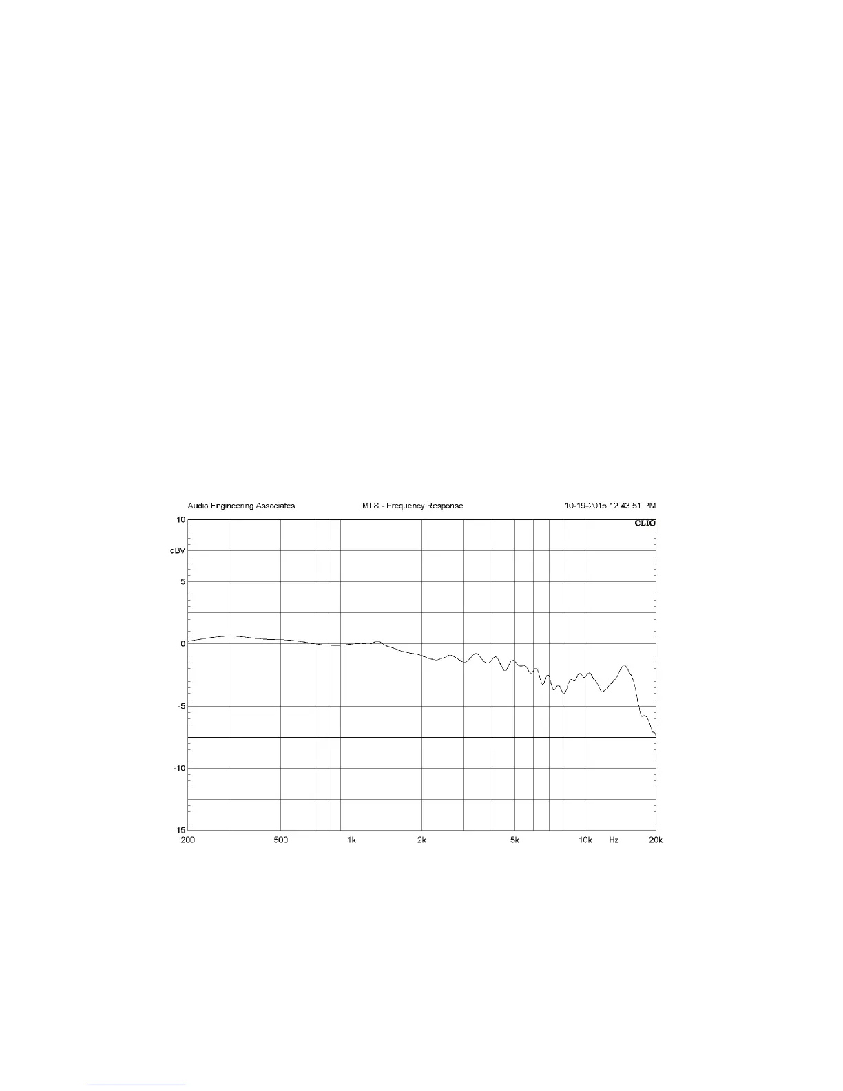
Data below 200 Hz omitted due to measuring room restrictions.
0 dBr is equivalent to 2.5 mV/Pa at 1kHz.
Normalized to 0 dBr at 1kHz.
R84 Frequency Response
Polarity:
Polar Response:
Horizontal:
Vertical:
Transducer Element Material:
Thickness:
Width:
Length:
Microphone Dimensions
Height:
Width:
Depth:
Weight with cable:
Shipping Weight:
Connector:
Pin 2 high for positive pressure on front of
microphone.
Native bidirectional, figure-of-8 pattern
Up to 90 dB rejection at right angles to the front/
back axis.
Level changes with angle of incidence, but
frequency response is consistent.
Pure aluminum corrugated ribbon
1.8 µm
0.185 in (4.7 mm)
2.35 in (59.7 mm)
11.6 in (29.5 cm)
3.9 in (9.9 cm)
2.5 in (6.4 cm)
3 lb (1.36 kg)
4 lb (1.8 kg)
XLR-3M

Related product manuals