EasyManua.ls Logo

AEA R84 - Preamps

AEA R84
16 pages
Print Icon
To Next Page IconTo Next Page
To Next Page IconTo Next Page
To Previous Page IconTo Previous Page
To Previous Page IconTo Previous Page
Loading...
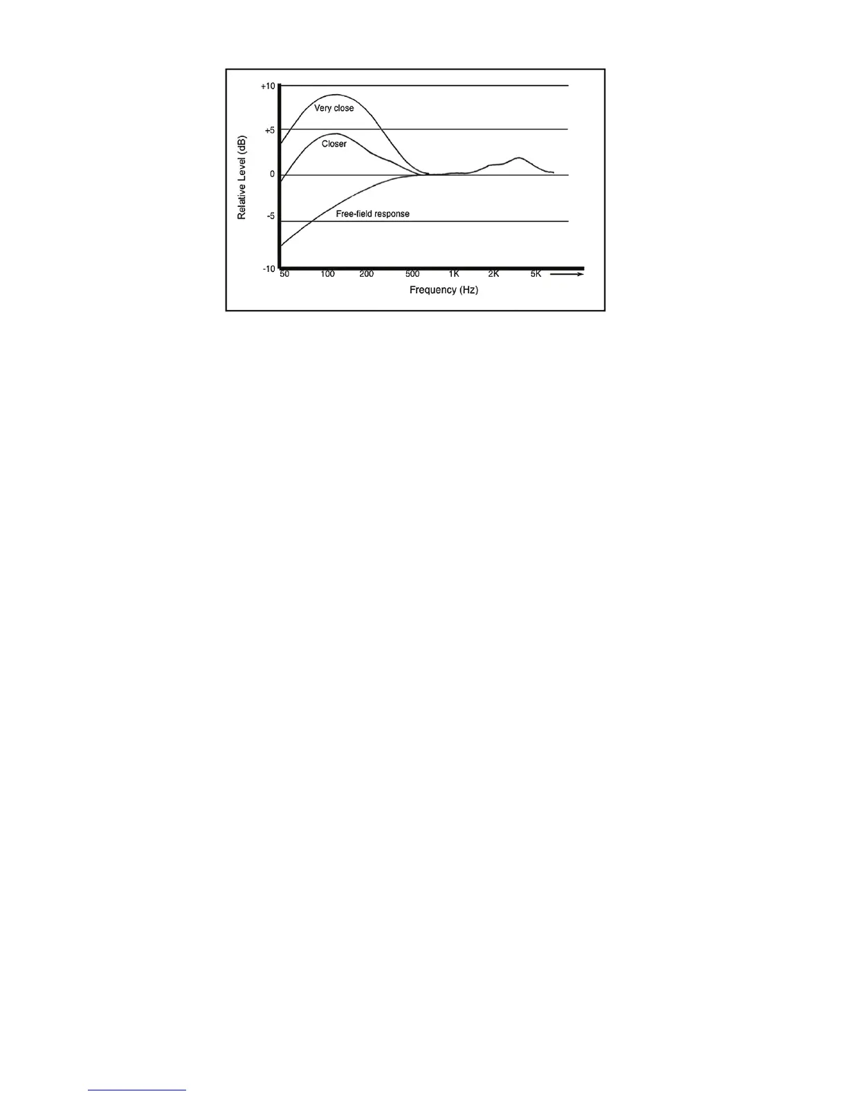
The R44’s proximity effect begins at six feet (1.8 M) and can become
huge. The RCA 44 was developed when studios were larger and mics
were rarely used close up. The R84 has a more moderate proximity
effect, better suited for closer use in contemporary studios. Designed
to accommodate distant and medium miking duties, it exhibits a flat
frequency response when placed 3 feet (1 meter) away from the source
Experienced vocalists instinctively locate the proper working distances
for the microphones they are using. From as early as the 1930s,
Frank Sinatra always kept one hand on the microphone stand while
singing. Some joked that he simply was steadying himself, but more
knowledgeable people noticed that he would bring the mic closer for
more intimate moments, and then move it farther away when he belted
out a line. This technique became known as “working the mic.” A
simple technique for maintaining the proper working distance from the
microphone is to place a pop-screen between the performer and the
microphone. By doing this, nothing need be said to the performers, as
they naturally will work at the distance you have established.
Preamps
The R84’s passive system yields spectacular headroom and operates
with very low distortion over a huge dynamic and frequency range.
Without active electronics, the R84 can handle 136dB SPL at 40
Hz and withstand 165+ dB SPL at 1 kHz and higher. Passive ribbon
microphones generally have low output level and require preamps that
supply a high level of gain. If the preamp you use does not have enough
gain, the signal might seem too soft or noisy.
The preamp input impedance affects the output level of the mic in
addition to the mic’s frequency and transient response characteristics.
It is generally recommended to use a preamp that is at least four times
7

Related product manuals