EasyManua.ls Logo

Alpha 41 532 05 - Page 37

Alpha 41 532 05
52 pages
Print Icon
To Next Page IconTo Next Page
To Next Page IconTo Next Page
To Previous Page IconTo Previous Page
To Previous Page IconTo Previous Page
Loading...
37
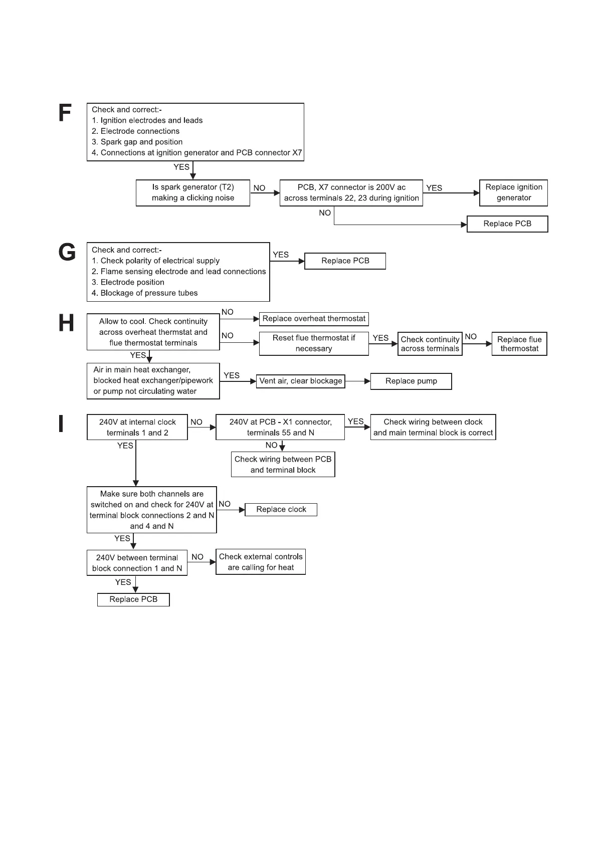
Alpha CD13R, 18R, 24R - Fault Finding
10.3 FAULT FINDING SOLUTIONS F to I

Related product manuals