EasyManua.ls Logo

Altronic CPU-2000 - Parts Identification and Specification

Altronic CPU-2000
20 pages
Print Icon
To Next Page IconTo Next Page
To Next Page IconTo Next Page
To Previous Page IconTo Previous Page
To Previous Page IconTo Previous Page
Loading...
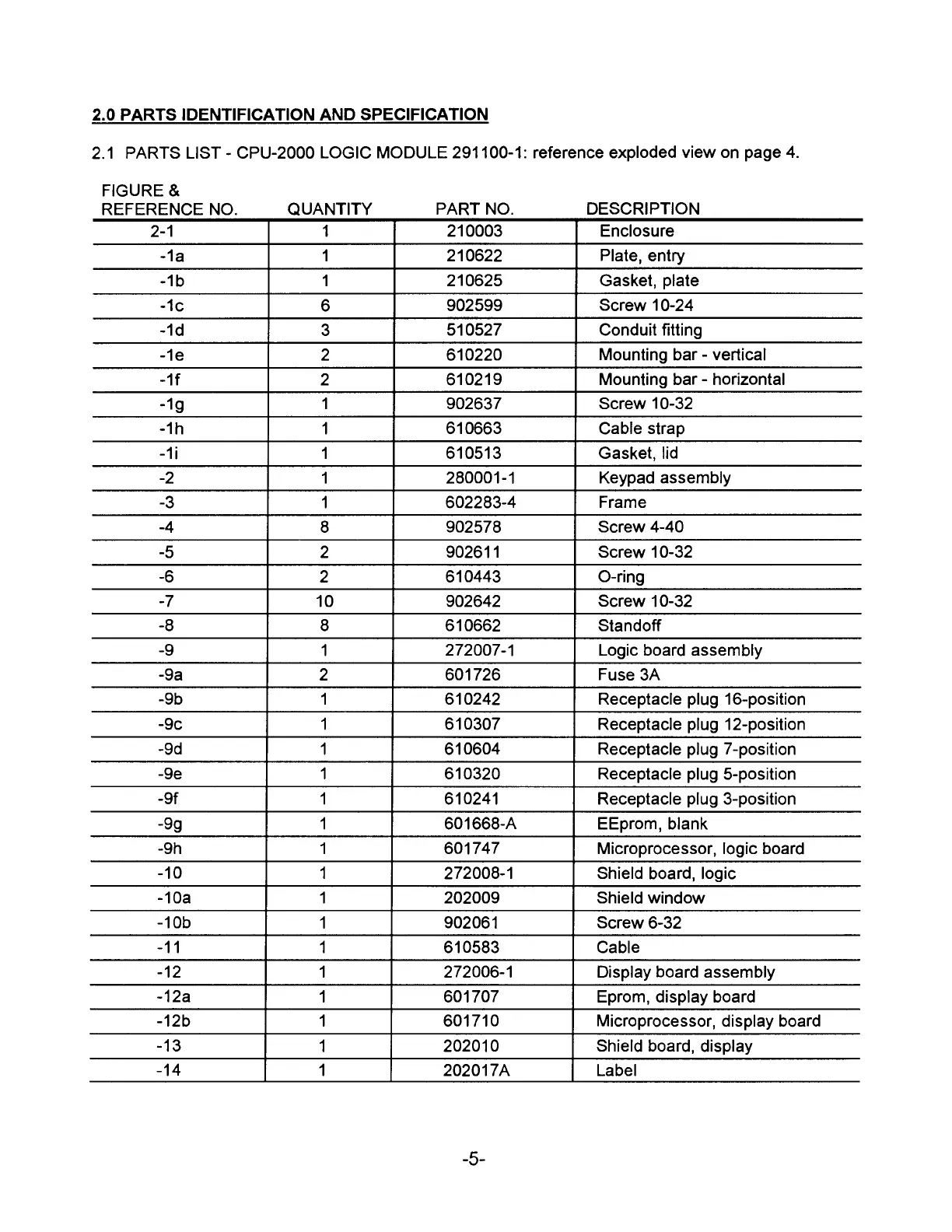
2.0 PARTS IDENTIFICATION AND SPECIFICATION
2.1
PARTS LIST - CPU-2000 LOGIC MODULE 291100-1: reference exploded
view
on page
4.
FIGURE &
REFERENCE NO.
2-1
-1a
-1b
-1c
-1d
-1e
-1f
-1g
-1h
-1i
-2
-3
-4
-5
-6
-7
-8
-9
-9a
-9b
-9c
-9d
-9e
-9f
-9g
-9h
-10
-10a
-10b
-11
-12
-12a
-12b
-13
-14
QUANTITY
1
1
1
6
3
2
2
1
1
1
1
1
8
2
2
10
8
1
2
1
1
1
1
1
1
1
1
1
1
1
1
1
1
1
1
PART NO.
DESCRIPTION
210003 Enclosure
210622 Plate, entry
210625
Gasket, plate
902599
Screw 10-24
510527 Conduit fitting
610220 Mounting bar - vertical
610219
Mounting bar - horizontal
902637
Screw 10-32
610663 Cable strap
610513
Gasket, lid
280001-1 Keypad assembly
602283-4 Frame
902578 Screw 4-40
902611 Screw 10-32
610443 O-ring
902642
Screw 10-32
610662 Standoff
272007-1 Logic board assembly
601726 Fuse 3A
610242 Receptacle plug 16-position
610307
Receptacle plug 12-position
610604
Receptacle plug ?-position
610320 Receptacle plug 5-position
610241
Receptacle plug 3-position
601668-A EEprom, blank
601747
Microprocessor, logic board
272008-1 Shield board, logic
202009 Shield window
902061 Screw 6-32
610583 Cable
272006-1 Display board assembly
601707 Eprom, display board
601710
Microprocessor, display board
202010 Shield board, display
202017A Label
-5-

Related product manuals