EasyManua.ls Logo

Antec HCG-520M - 80 PLUS Certification and Power Output; Power Output Specifications Table; Intelligent Hybrid Cable Management; Modular Cable Jacks Description

Antec HCG-520M
8 pages
Print Icon
To Next Page IconTo Next Page
To Next Page IconTo Next Page
To Previous Page IconTo Previous Page
To Previous Page IconTo Previous Page
Loading...
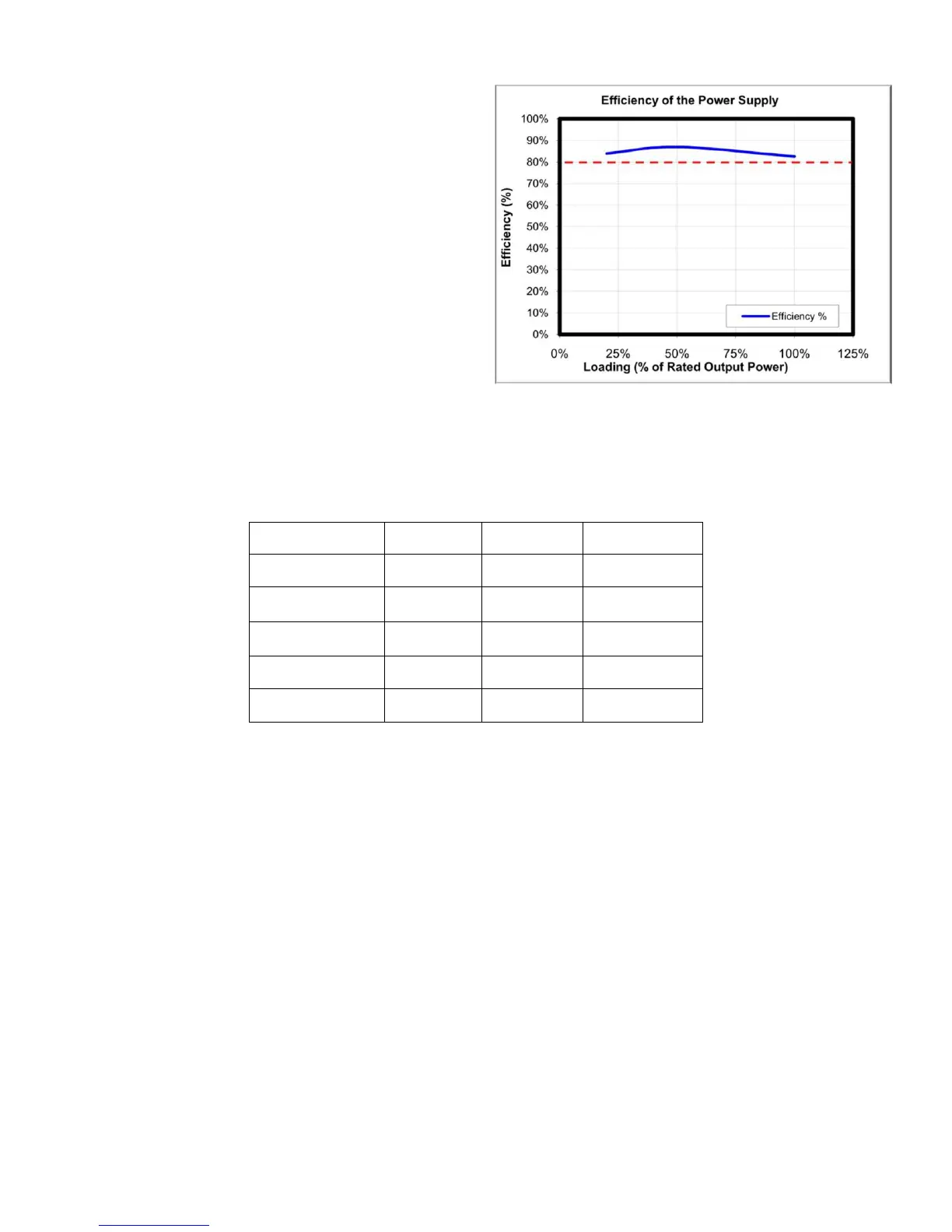
80 PLUS® CERTIFICATION
80 PLUS® certification is the most widely recognized
independent standard in power supply efficiency. An 80
PLUS® certified power supply uses less energy and
generates less heat to stay cooler, run quieter and last
longer. The HCG-520M has been 80 PLUS® Bronze
certified to be at least 82% efficient at a wide range of
operating loads; this will lower your operating costs and
help protect the environment.
POWER OUTPUT
To see the output capacity and regulation for each different voltage, see table 1.
TABLE 1
Output Voltage
Load Max.
Regulation
Ripple & Noise
+3.3V
24A
±5%
< 50 mV
+5V
24A
±5%
< 50 mV
+12V
40A
±5%
< 120 mV
-12V
0.8A
±5%
< 120 mV
+5VSB
2.5A
±5%
< 50 mV
INTELLIGENT HYBRID CABLE MANAGEMENT
The HCG-520M uses Intelligent Hybrid Cable Management. Cables that are important or mandatory are
permanently connected to the PSU for the highest quality power delivery. There are modular jacks on the back of
the PSU to add additional cables as needed. Using only the cables you need will reduce clutter and improve airflow
inside your case. For the list of connected and optional cables, see table 2.
MODULAR CABLE JACKS
There are two 5-pin black jacks and four 10-pin red jacks on the back of your HCG-520M PSU. These jacks are for
the optional cables that come with your power supply. A modular 10-pin connector system allows you plug 5-pin
connectors into the 10-pin jacks if you run out of 5-pin jacks.

Related product manuals