EasyManua.ls Logo

AOC i2353Ph - Luminance Settings

AOC i2353Ph
53 pages
To Next Page IconTo Next Page
To Next Page IconTo Next Page
To Previous Page IconTo Previous Page
To Previous Page IconTo Previous Page
Loading...
21
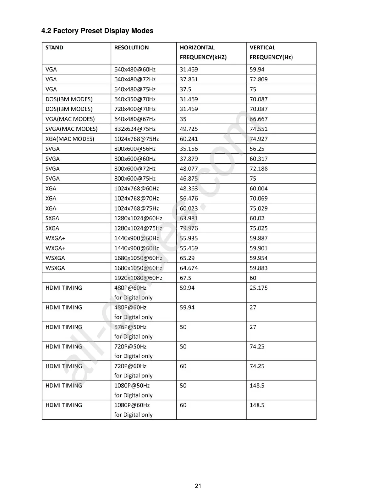
4.2 Factory Preset Display Modes
All manuals and user guides at all-guides.com
all-guides.com

Other manuals for AOC i2353Ph

Related product manuals