EasyManua.ls Logo

Arturia 1973-Pre - Arturias 1973-Pre

Arturia 1973-Pre
42 pages
Print Icon
To Next Page IconTo Next Page
To Next Page IconTo Next Page
To Previous Page IconTo Previous Page
To Previous Page IconTo Previous Page
Loading...
1.2. Arturia's 1973-Pre
So, what is and what do we get with the 1973-Pre preamp and EQ plug-in?
The goal of Arturia was to model the sound of this famous and well sought-after vintage
preamp and EQ unit, definitely one of the most famous and revered, as well as add some
new features that are helpful in a modern workflow.
Therefore, we have the amplification circuit, and a 3 band EQ with High Shelf, Mid Bell (Peak)
and Low Shelf bands, and High Pass Filter. The EQ in the plug-in version has sweepable
frequencies for the filter, the Low Shelf and the Midrange Bell. Only the High Shelf kept the
fixed frequency of the original. This gives the plug-in much more flexibility in the EQing,
while preserving the great sound that was the main characteristic of the original Neve 1073.
We also have some other changes, like for example two transformer types (the original
Neve 1073 was a Class-A). The first transformer keeps the original sound of the original Neve
amplifier, while the second is a novelty introduced by Arturia to give the users some sound
variation, based on another famous piece of vintage equipment.
The plug-in has Single Channel and Dual Channel versions, or configurations. The Dual
Channel configuration can work in three different modes. The default mode is Stereo, which
means the Stereo Link button is On and the Stereo Mode switch is in the L/R (Left/Right)
position. When we change this switch to the M/S position, the plug-in enters the Mid/Side
mode. This automatically disables (turns Off) the Stereo Link button.
When the Stereo Link switch is Off, and the Stereo Mode button is in the L/R position,
the plug-in is in Dual Mono mode. In this mode each channel works independently, which
means we can have the EQ switched On in one channel and Off in the other, for example,
and the phase switched On in one and Off in the other.
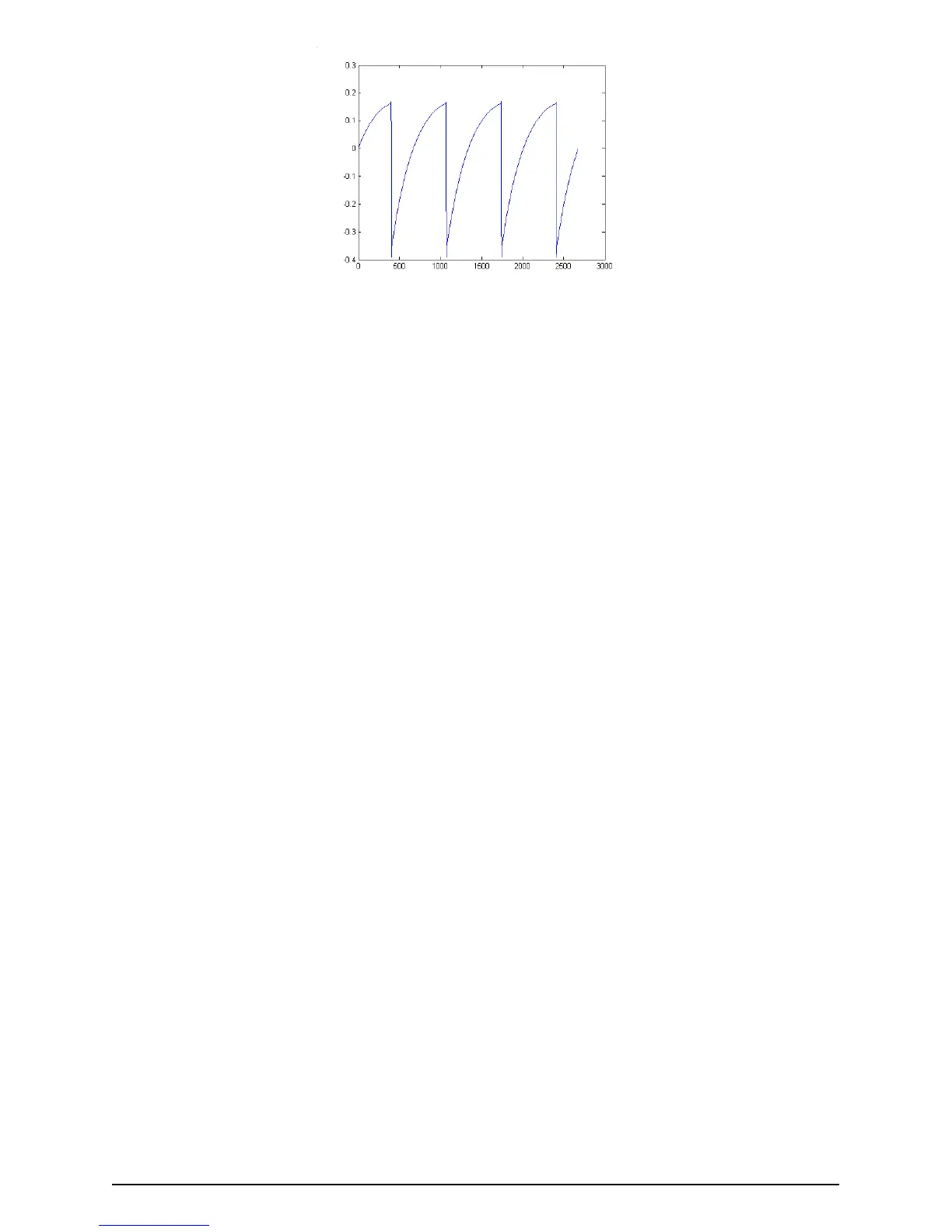
Temporal representation of a "sawtooth"
waveform reproduced by TAE®
Arturia - User Manual 1973-Pre - WELCOME 5