EasyManua.ls Logo

B&C Technologies FM7 - Agitation Flow Chart

B&C Technologies FM7
36 pages
Print Icon
To Next Page IconTo Next Page
To Next Page IconTo Next Page
To Previous Page IconTo Previous Page
To Previous Page IconTo Previous Page
Loading...
10
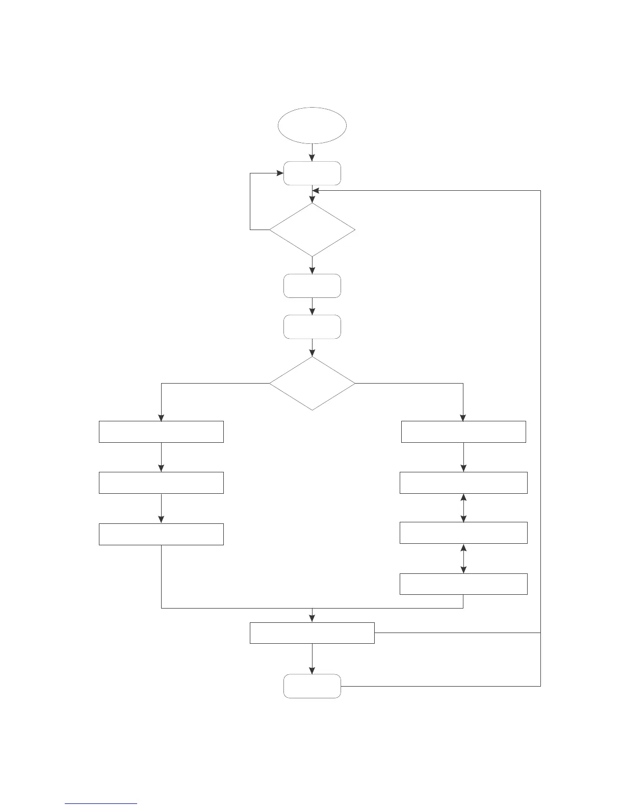
Programming
Agitation Programming Flow Chart
POWER
ENTER PROG
EXIST?
n?
START +
RESET
RESET
45
ENTER
EDIT AGITATION
AGITATION N
ON--
FWD T = S
PAUSE T = S
REV T = S
# OF SEC
ENTER
# OF SEC
ENTER
# OF SEC
ENTER
FWD T = S0
PAUSE T = XXs
REV T = XXs
NOT BLANK!
ENTER
INC
DEC
DEC
INC
SAVE?
yes
ENTER
STORE
VALUES
no
RESET

Related product manuals