EasyManua.ls Logo

Bard MEGA-TEC W120AP - Suction Temperature and Freeze Alarms; Suction Temperature Sensor; Evaporator Freeze Condition Alarm

Bard MEGA-TEC W120AP
44 pages
Print Icon
To Next Page IconTo Next Page
To Next Page IconTo Next Page
To Previous Page IconTo Previous Page
To Previous Page IconTo Previous Page
Loading...
Manual 2100-671
Page 16 of 44
Suction Pressure Alarm
When the suction pressure transducer value is
measured out of range (0-250 PSIG) and the
compressor has been operating for longer than 1
minute, the controller will generate a sensor failure
alarm to indicate the sensor is not working properly.
This alarm cannot be adjusted.
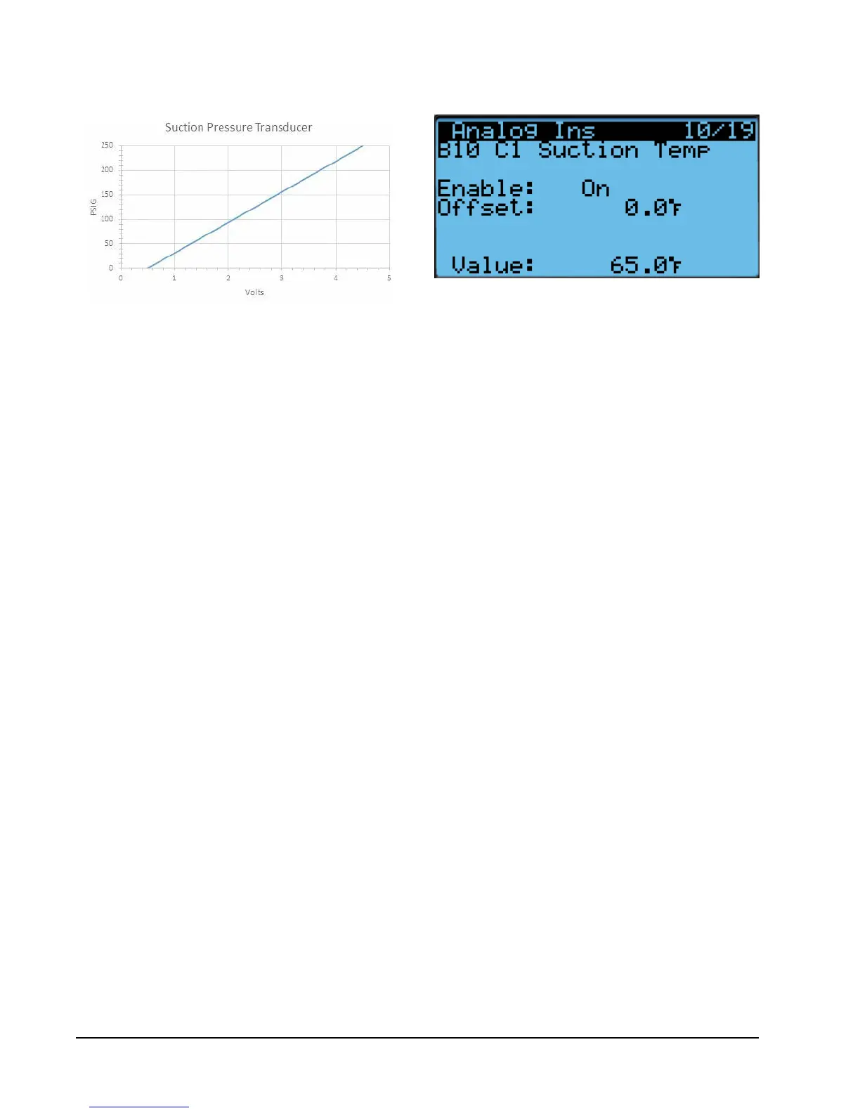
Suction Temperature Sensor
The suction temperature sensor is used to calculate
superheat. The EEV uses this value to control the EEV.
The temperature is measured with a 10k ohm NTC
thermistor.
The suction temperature sensor measurement can be
verified and adjusted by:
1. Press MENU key to go to the Main Menu screen.
2. Press UP or DOWN keys and ENTER key to enter
TECHNICIAN password 1313.
3. Press UP or DOWN keys to scroll to I/O Config;
press ENTER key.
4. Press UP or DOWN keys to scroll to Analog Inputs;
press ENTER key.
5. Press UP or DOWN keys to scroll to Analog Ins
10/19 (for circuit 1) or Analog Ins 11/19 (for
circuit 2).
6. Verify the measurement displayed on screen is
accurate (see Figure 20).
7. If the measurement needs to be adjusted, apply an
offset value by pressing ENTER to scroll to Offset.
8. Press UP or DOWN keys to adjust the offset.
9. The update will not take effect until the cursor is
moved out of the Offset parameter.
FIGURE 20
Adjusting Suction Temperature Sensor Values
Suction Temperature Alarm
When the suction temperature sensor value is out of
range (-41.0 to 303.0°F), the controller will generate
a sensor failure alarm to indicate the sensor is not
working properly.
This alarm cannot be adjusted.
Evaporator Freeze Condition Alarm
The freeze condition alarm uses a temperature sensor
attached to the evaporator coil to determine if the
evaporator is cold enough to potentially start building
ice. The controller will generate this alarm when the
compressor is running and the coil temperature is
below 32°F for 2 minutes. While the alarm is active,
the compressor will be deactivated and the blower
speed will be set to 80%. The evaporator temperature
needs to warm back up to the reset temperature of
55°F for 5 minutes before the alarm will clear and the
compressor will be permitted to run again.
The evaporator freeze sensor measurement can be
verified and adjusted by:
1. Press MENU key to go to the Main Menu screen.
2. Press UP or DOWN keys and ENTER key to enter
TECHNICIAN password 1313.
3. Press UP or DOWN keys to scroll to I/O Config;
press ENTER key.
4. Press UP or DOWN keys to scroll to Analog Inputs;
press ENTER key.
5.
Press UP or DOWN keys to scroll to Analog Ins 13/19
(for circuit 1) or Analog Ins 14/19 (for circuit 2).
6. Verify the measurement displayed on screen is
accurate (see Figure 21).
7. If the measurement needs to be adjusted, apply an
offset value by pressing ENTER to scroll to Offset.
8. Press UP or DOWN keys to adjust the offset.
9. The update will not take effect until the cursor is
moved out of the Offset parameter.
FIGURE 19
Voltage to Pressure: Suction Pressure Transducer

Table of Contents

Related product manuals