EasyManua.ls Logo

BEEHIVE SUPER BEE - Page 45

Default Icon
56 pages
Print Icon
To Next Page IconTo Next Page
To Next Page IconTo Next Page
To Previous Page IconTo Previous Page
To Previous Page IconTo Previous Page
Loading...
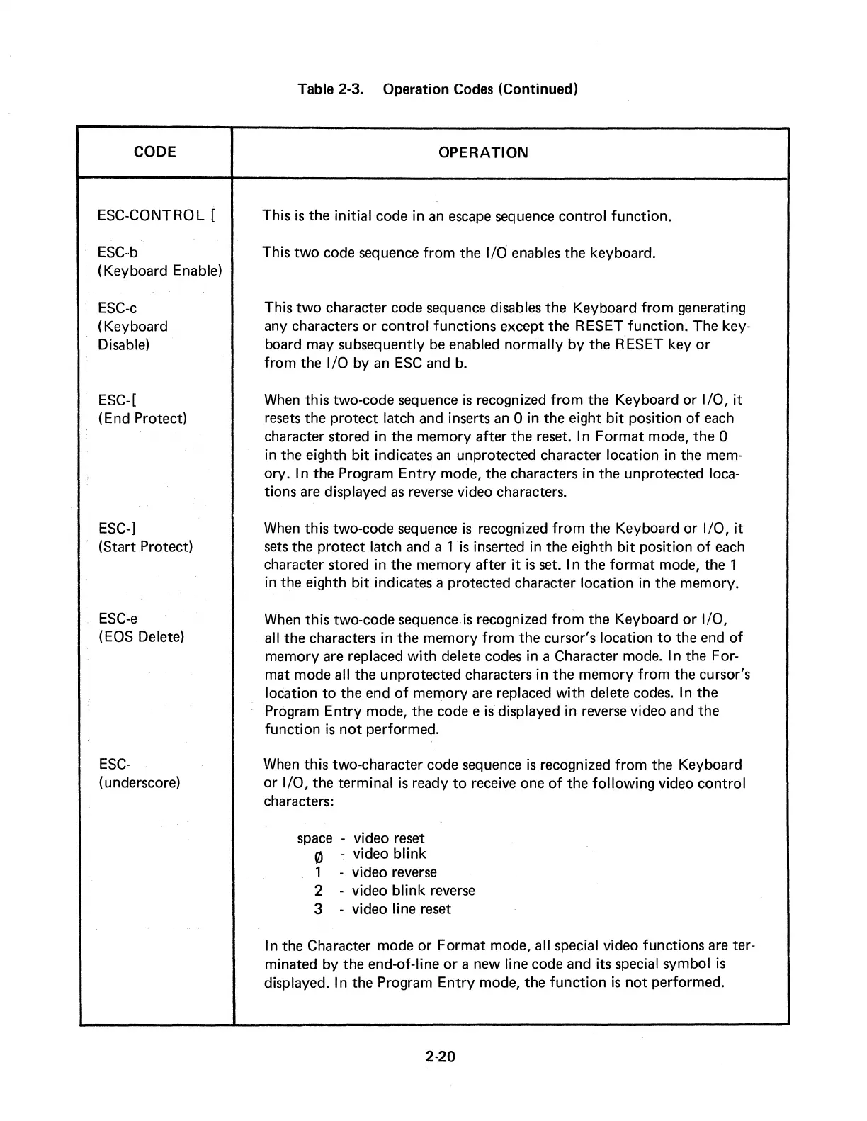
Table 2-3.
Operation
Codes (Continued)
CODE OPERATION
ESC-CONTRO L [
ESC-b
(Keyboard
Enable)
ESC-c
(Keyboard
Disable)
ESC-[
(End Protect)
ESC-]
(Start
Protect)
ESC-e
( EOS Delete)
ESC-
( underscore)
This
is
the
initial
code
in an escape sequence
control
function.
This
two
code
sequence
from
the
1/0 enables
the
keyboard.
This
two
character
code
sequence disables
the
Keyboard
from
generating
any characters
or
control
functions
except
the
RESET
function.
The
key-
board
may
subsequently
be enabled normally
by
the
RESET key
or
from
the
1/0 by
an
ESC
and
b.
When
this
two-code
sequence
is
recognized
from
the
Keyboard
or
1/0, it
resets
the
protect
latch
and
inserts an 0
in
the
eight bit position
of
each
character
stored
in
the
memory
after
the
reset. In
Format
mode,
the
0
in
the
eighth bit indicates an
unprotected
character
location
in
the
mem-
ory. In
the
Program
Entry
mode,
the
characters in
the
unprotected
loca-
tions are displayed as reverse video characters.
When
this
two-code sequence
is
recognized
from
the
Keyboard
or
1/0, it
sets
the
protect
latch and a 1
is
inserted
in
the
eighth bit position
of
each
character
stored
in
the
memory
after
it
is
set. In
the
format
mode,
the
1
in
the
eighth bit indicates a
protected
character
location
in
the
memory.
When
this
two-code
sequence
is
recognized
from
the
Keyboard
or
1/0,
. all
the
characters
in
the
memory
from
the
cursor's
location
to
the
end
of
memory
are replaced with delete codes
in
a Character mode. In
the
For-
mat
mode
all
the
unprotected
characters in
the
memory
from
the
cursor's
location
to
the
end
of
memory
are replaced with delete codes.
In
the
Program
Entry
mode,
the
code
e
is
displayed in reverse video
and
the
function
is
not
performed.
When
this
two-character
code
sequence
is
recognized from
the
Keyboard
or
1/0,
the
terminal
is
ready
to
receive
one
of
the
following video
control
characters:
space - video reset
0 - video blink
1 - video reverse
2 - video blink reverse
3 - video line reset
In
the
Character
mode
or
Format
mode, all special video functions are ter-
minated
by
the
end-of-line
or
a new line
code
and
its special symbol
is
displayed.
In
the
Program
Entry
mode,
the
function
is
not
performed.
2-20