EasyManua.ls Logo

BriskHeat LYNX - Introduction to LYNX System; General Specifications and Features; Accuracy and Environmental Ratings

Default Icon
28 pages
Print Icon
To Next Page IconTo Next Page
To Next Page IconTo Next Page
To Previous Page IconTo Previous Page
To Previous Page IconTo Previous Page
Loading...
© BriskHeat
®
Corporation. All rights reserved.
3
LYNX
TM
System Instructions
Your Lynx
®
Temperature Control System supplies a complete network of temperature control by providing each system an Operator Interface Panel and
PID Control Module to each heater. A Lynx
®
Module is a compact PID temperature controller with RTD, J-Type, or K-Type Thermocouple feedback. The
Lynx
®
Operator Interface Panel acts as a Global Programming Master for 18 heater strings with up to 128 Lynx
®
Modules per string and 1024 heaters
per OI. This unit displays user configurable graphical mapping, custom naming, and sending email alerts via hard wire CAT-5 connection or WIFI
networking. These are just some of the features that the LYNX OI provides that help with complete system control and optimization for heating
applications. This manual will provide information on these features and other advanced configurations for using the Lynx Temperature Control System.
For successful operation of this system, please read these instructions prior to use.
General Specifications
Voltage: 100-277 VAC, 50-60 Hz
Temperature Control Range: 32°F to 1112°F (0°C to 600°C)
Sensor Input: Type-J or Type-K Thermocouples; PT100 RTD
Accuracy:
RTD +/- 0.25°C + 0.125% of measured temperature in °C (+/- 0.45°F + 0.125% of (measured temperature in °F - 32))
J-Thermocouple +/- 1.09°C (+/-1.96°F)
K-Thermocouple +/- 1.125°C (+/-2.03°F)
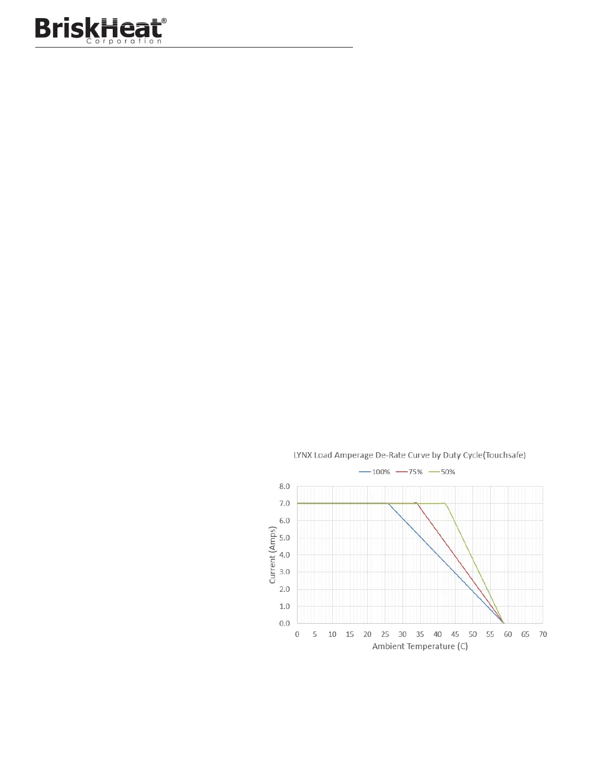
Max Amp Load per Module: 7 amps at 77°F (25°C) ambient; 4 amps at 104°F (40°C)
Display:
Operator Interface: 10.1” (257 mm) full-color touchscreen
Mounting Pattern: VESA mounting pattern on the back of the unit
Module: 3 digit display
Alarms:
Operator Interface: 9 Dry contacts, one per string and one master for system
Dry Contact Electrical Ratings: 30 VAC/VDC, 5 amps
Module: High Visibility, Multi-color LED status indicator
String Length: 30m
Environmental Rating:
Operator Interface: IP10
Module: IP20
Environmental Exposure:
Operating Range: 32°F to 130°F (0°C to 54°C)
Storage Range: -40°F to 140°F (-40°C to 60°C)
Relative Humidity: 0 to 80% (non-condensing)
INTRODUCTION

Other manuals for BriskHeat LYNX