EasyManua.ls Logo

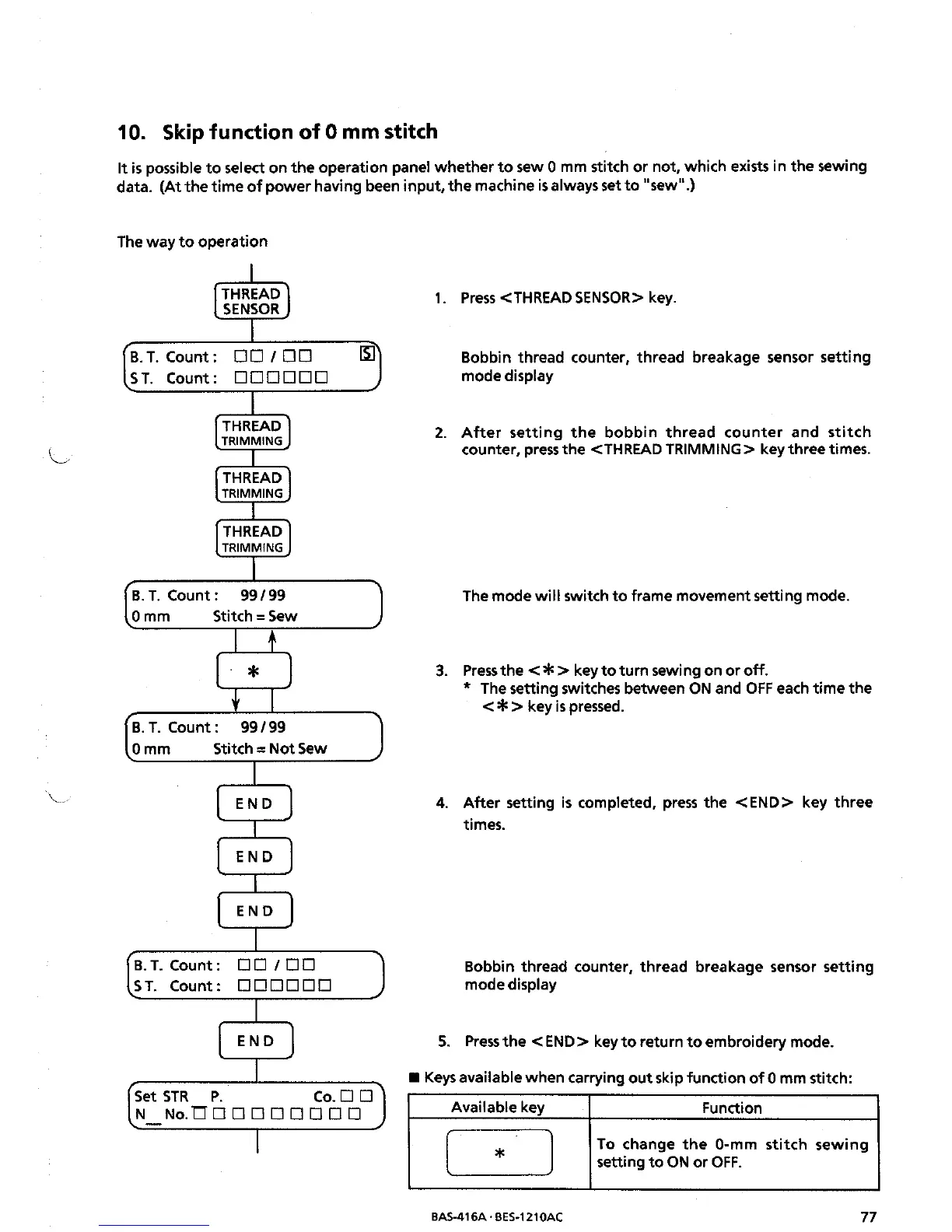
Brother BAS-416A - Skip Function of 0 MM Stitch

Brother BAS-416A
114 pages
Print Icon
To Next Page IconTo Next Page
To Next Page IconTo Next Page
To Previous Page IconTo Previous Page
To Previous Page IconTo Previous Page
Loading...

Table of Contents

Other manuals for Brother BAS-416A

Related product manuals