EasyManua.ls Logo

Bunn DUAL - Brew Start-Lock Feature Explanation; Liquid Level Control Overflow Troubleshooting; Liquid Level Control Refill Failure; Liquid Level Control Test Procedure

Bunn DUAL
53 pages
Print Icon
To Next Page IconTo Next Page
To Next Page IconTo Next Page
To Previous Page IconTo Previous Page
To Previous Page IconTo Previous Page
Loading...
Page 24
SERVICE (cont.)
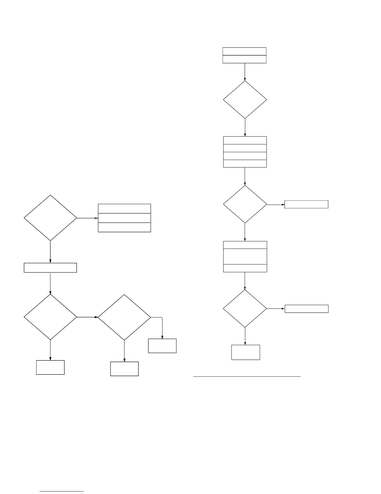
PROBLEM:
LIQUID LEVEL CONTROL SYSTEM DOES NOT REFILL
PROBLEM:
LIQUID LEVEL CONTROL OVERFLOWS
RETRY
NO
YES
YES
NO
YES
REPLACE
CONTROL
ASSEMBLY (1)
DRAIN CUP
(4)
OVERFLOW
?
OVERFLOW
?
NO
OVERFLOW
?
REPLACE SOLENOID
VALVE (14)
DRAIN CUP (4)
DISCONNECT WIRE
SOLENOID VALVE (14)
FROM
RETRY
REPLACE PROBE (7)
DRAIN CUP (4)
DISCONNECT PROBE
WIRE FROM PROBE (7)
SHORT PROBE WIRE
TO CHASSIS
RETRY
Liquid Level Control Test Procedure:
1. Disconnect brewer from the power source.
2. With a voltmeter, check the voltage across termi-
nals 3 & 4 of the electronic control assembly (1).
Connect brewer to power source. The indication
must be:
a.) 208 volts ac for three wire 120/208 volt models
and 240 volts ac for three wire 120/240 volt
models.
b.) 200 to 240 volts ac for two wire 200 or 240 volt
models.
ELECTRONIC CONTROL ASSEMBLY (cont.)
P808
P809
BREW START- LOCK
The water must be heated to the preset tempera-
ture indicated by the glowing ready light before a brew
cycle can be initiated.
If the ready light goes out during a brew cycle, the
cycle will continue until it is completed. You must wait
until the ready light glows before starting another brew
cycle.
OVERFLOW CUP FULL
YES
REMOVE POWER
DRAIN CUP
RETRY
NO
DISCONNECT LEVEL PROBE
(4)
(4)
(7)
VOLTAGE PRESENT AT
SOLENOID VALVE
(14)
YES
DOES WATER FLOW
YES
REPLACE PROBE
(7)
NO
NO
REPLACE
SOLENOID VALVE
(14)
REPLACE
CONTROL
ASSEMBLY (1)
27040 041100

Other manuals for Bunn DUAL

Related product manuals