EasyManua.ls Logo

Cooper & Hunter CH-S09FVX - Page 45

Cooper & Hunter CH-S09FVX
80 pages
Print Icon
To Next Page IconTo Next Page
To Next Page IconTo Next Page
To Previous Page IconTo Previous Page
To Previous Page IconTo Previous Page
Loading...
42
Installation and Maintenance
Service Manual
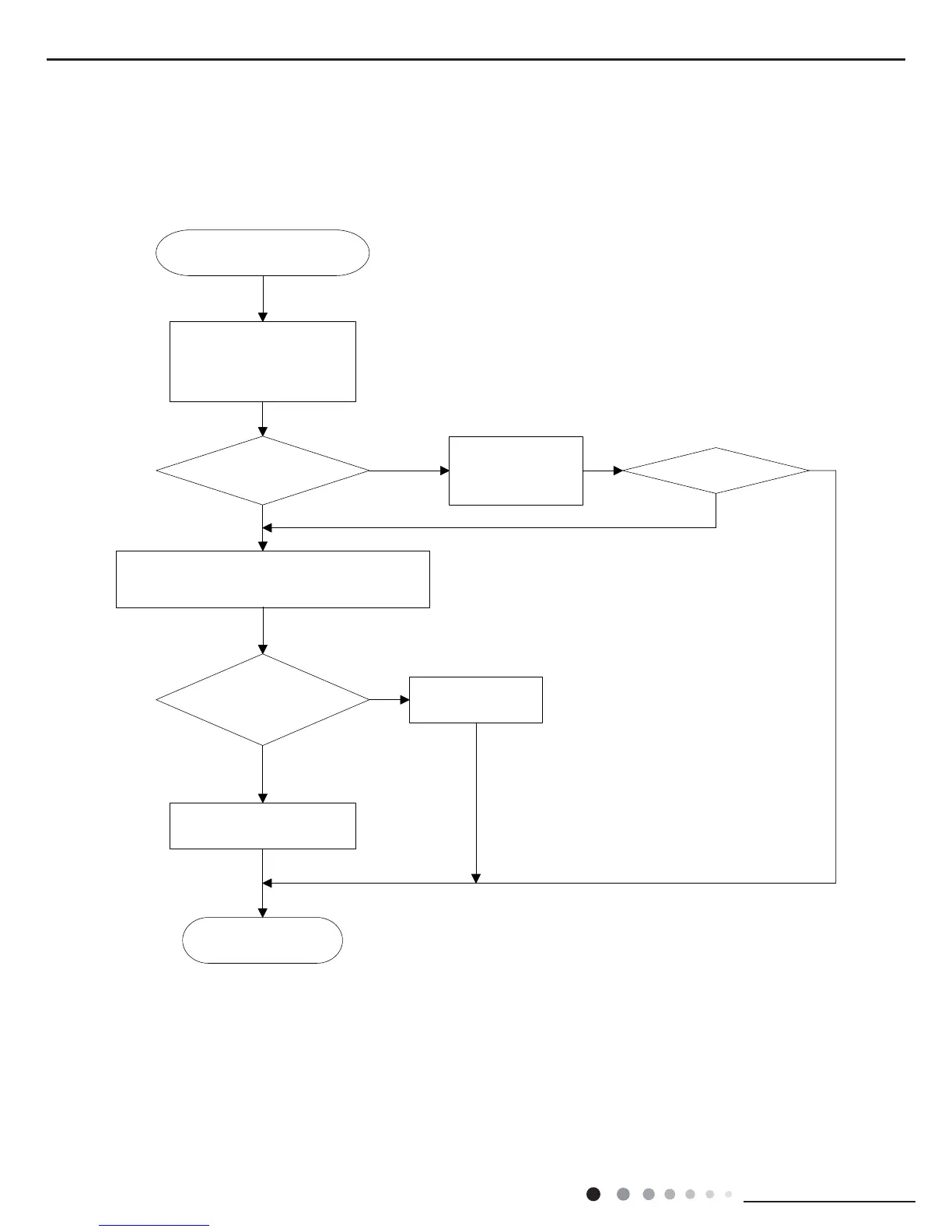
(2) Troubleshooting for communiction malfunction
Main check point:
●Check whether the connection wire for indoor and outdoor units and the wires inside the indoor unit is connected well;
●Check whether the mainboards of indoor unit or outdoor unit are damaged;
Check ow chart:
Replace mainboard of
outdoor unit
Wires are connected
correctly?
Is malfunction
eliminate?
Communication malfunction
for some indoor unit
End
No
No
No
Yes
Yes
Yes
Whether the indoor unit
resumes normal?
Disconnect the power, and
check connection wire for indoor
and outdoorunits and wires inside
electric box areconnected
correctly
De-energize the unit, exchange the communication
wirefor the indoor unit with normal communication
and the indoor unit with malfunction, energize the
unit and thenwait for 3mins
Replace mainbaord of indoor
unit with malfunction
Connect wires
according to wiring
diagram

Related product manuals