EasyManua.ls Logo

Creative PC-68B - Page 25

Creative PC-68B
42 pages
Print Icon
To Next Page IconTo Next Page
To Next Page IconTo Next Page
To Previous Page IconTo Previous Page
To Previous Page IconTo Previous Page
Loading...
User Manual for Wrist Oximeter
-20-
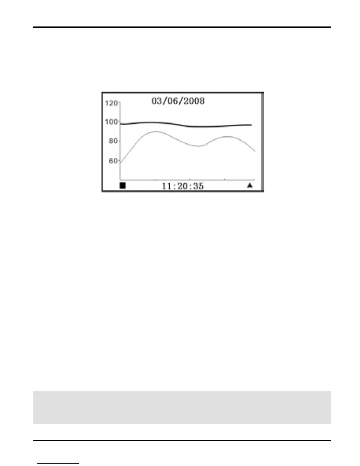
3.2.4 Trend Review
On menu screen, select Trend Reviewand press
key
to enter Trend Review screen, as shown in Figure 16.
Figure 16 Trend Review Screen
03/06/2008”: date of the measurement
11:20:35”: initial time of trend graph displayed
on this screen;
: Page scroll (left/ right) symbol;
Curves in the middle area:
Green curve: indicate pulse rate trend curve;
Orange curve: indicate SpO
2
trend curve;
Operation Instructions:
Short time press
key: Page scroll right;
Short time press
key: Page scroll left;
Longtime press
key: back to the menu screen;
Note: when the display screen is menu screen or its
submenu screen, the measurement will be interrupted.