EasyManua.ls Logo

D-Link NetDefend DFL-210 - Packet Flow Schematic Part III

D-Link NetDefend DFL-210
495 pages
Print Icon
To Next Page IconTo Next Page
To Next Page IconTo Next Page
To Previous Page IconTo Previous Page
To Previous Page IconTo Previous Page
Loading...
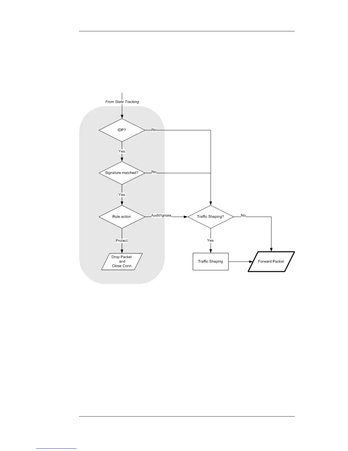
Figure 1.3. Packet Flow Schematic Part III
1.3. NetDefendOS State Engine Packet
Flow
Chapter 1. NetDefendOS Overview
23

Table of Contents

Other manuals for D-Link NetDefend DFL-210

Related product manuals