EasyManua.ls Logo

Danfoss ECL Comfort A368

Danfoss ECL Comfort A368
163 pages
To Next Page IconTo Next Page
To Next Page IconTo Next Page
To Previous Page IconTo Previous Page
To Previous Page IconTo Previous Page
Loading...
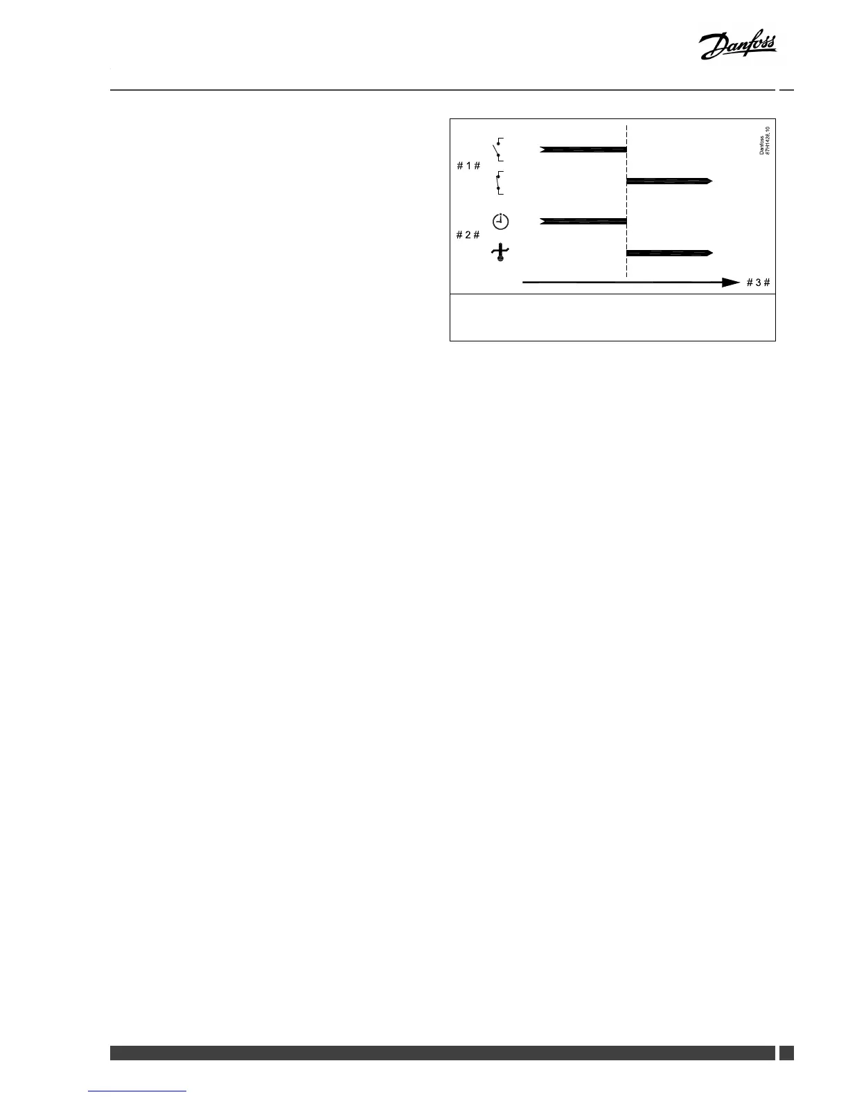
OperatingGuideECLComfort310,applicationA368
Example4





























Related product manuals