EasyManua.ls Logo

Danfoss ECL Comfort A368 - Page 20

Danfoss ECL Comfort A368
163 pages
Print Icon
To Next Page IconTo Next Page
To Next Page IconTo Next Page
To Previous Page IconTo Previous Page
To Previous Page IconTo Previous Page
Loading...
OperatingGuideECLComfort310,applicationA368
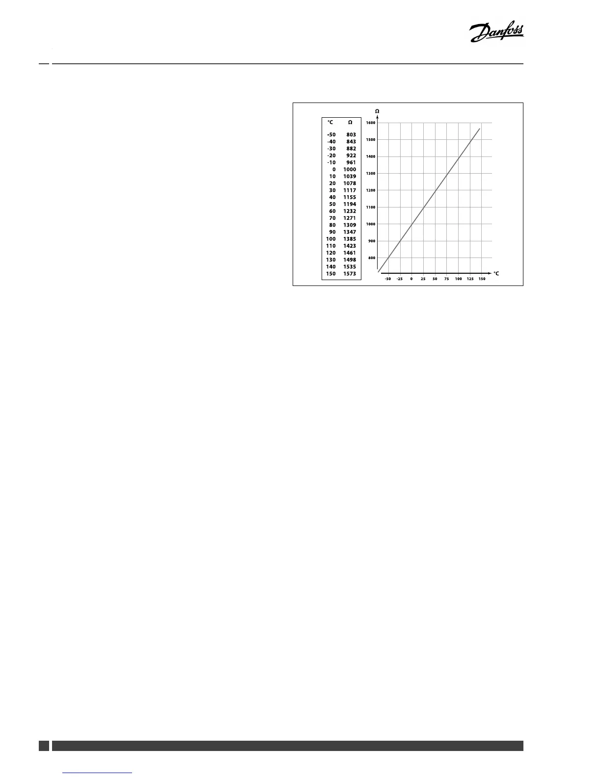
Pt1000temperaturesensor(IEC751B,1000/0°C)
Relationshipbetweentemperatureandohmicvalue:
-50
80 0
90 0
10 00
11 00
12 00
13 00
14 00
15 00
16 00
-25 0 25 50 75 10 0 12 5 15 0
°C
803
843
882
922
961
1000
1039
1078
1117
1155
1194
1232
1271
1309
1347
1385
1423
1461
1498
1535
1573
°C
-50
-40
-30
-20
-10
0
10
20
30
40
50
60
70
80
90
100
110
120
130
140
150




Other manuals for Danfoss ECL Comfort A368

Related product manuals