EasyManua.ls Logo

Dell E173FP - Appendix; Warranty Information; Safety Precautions

Dell E173FP
56 pages
Print Icon
To Next Page IconTo Next Page
To Next Page IconTo Next Page
To Previous Page IconTo Previous Page
To Previous Page IconTo Previous Page
Loading...
Great user manuals database on UserManuals.info
DELL E173FP Service Manual
14
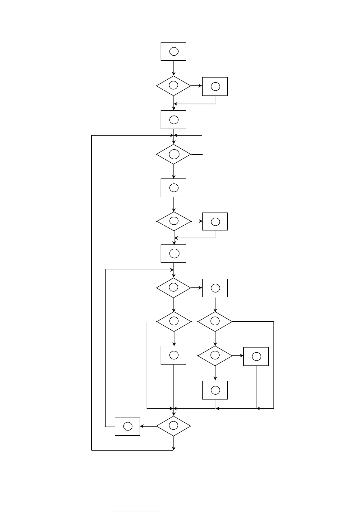
5.2 Software Flow Chart
1
2
N
Y
5
Y
N
10
Y
N
12
Y
N
7
Y
N
6
4
3
8
9
14
11
13
Y
N
1
5
Y
N
16
1
7
19
Y
N
18

Other manuals for Dell E173FP

Related product manuals