EasyManua.ls Logo

Dynacord P 64 - Problemlösungen

Dynacord P 64
88 pages
Print Icon
To Next Page IconTo Next Page
To Next Page IconTo Next Page
To Previous Page IconTo Previous Page
To Previous Page IconTo Previous Page
Loading...
Anhang
72
P 64 Digital Audio Matrix
Bedienungsanleitung
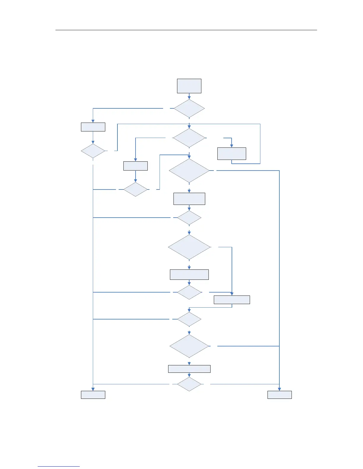
5.2 Problemlösungen
Problem: Es kann keine Verbindung über IRIS-Net mit dem P 64 aufgebaut werden.
Host not
reachable
(Timeout)
P64
eingeschaltet?
P64
einschalten
IP Adresse in
IRIS korrekt?
Bestimmung der
zugewiesenen IP
Adresse
IP Adresse
korrigieren
P64
online?
PING an IP Adresse
erfolgreich?
DC Support
Problem
gelöst
Netzwerk-
Konfiguration des
PCs überprüfen
ja
nein
unbekanntnein
ja
ja
nein
ja
nein
P64
online?
ja
nein
P64
online?
Mehr als ein P64
am Ethernet?
ja
nein
Ausschließen doppelter
IP-Adressen
P64
online?
ja
ja
Ethernet-Verbindung
überprüfen
nein
P64
online?
ja
Wird ein Hub/
Switch verwendet?
nein
P64
online?
Direktverbindung
herstellen
ja
nein
ja
nein
nein

Table of Contents

Related product manuals