EasyManua.ls Logo

E.C.A. KRONOS KR 24 HM - Maintenance; Standards; Instructions; Appendices

E.C.A. KRONOS KR 24 HM
36 pages
Print Icon
To Next Page IconTo Next Page
To Next Page IconTo Next Page
To Previous Page IconTo Previous Page
To Previous Page IconTo Previous Page
Loading...
MAINTENANCE
General maintenance of your appliance should be done each year at the beginning of the season. Make
sure to have E.C.A Authorized Services carry out maintenance procedures.
Cleaning of the outer surfaces of the appliance should only be done with a damp cloth without using
detergent or any chemicals. Detergents and chemical substances can cause corrosion on your appliance.
ALL RIGHTS RESERVED.
Our company reserves the right to make changes without prior noce on the manufactured products, user
and installaon manuals.
STANDARDS / INSTRUCTIONS
In addion to the warnings and instrucons on installaon and use of the appliance described in this
manual, all laws, regulaons, standards and local gas company instrucons on gas-powered appliances
must be strictly adhered to.
YOU CAN EXTEND THE WARRANTY PERIOD OF YOUR COMBI BOILER!
PLUS WARRANTY
You can extend the warranty period of your appliance by from 1 year to 3 years by taking advantage of the
"Plus Warranty" service within 4 months from the date of the start-up of your combi boiler. In the event of
a fault occurring in your combi boiler during the extended warranty period (Plus 1, 2, 3), there will be no
addional charge for labor, spare parts and travel costs.
Once a year during the contract, general maintenance of the combi boiler can be performed free of charge
by E.C.A authorized service.
WARRANTY STARS
You can get your E.C.A combi boilers that you use safely, of which the warranty periods have expired,
within the scope of warranty again for between 1 and 3 years depending on your request. With the
Warranty Stars extended warranty contract, up to 3 years, maintenance of your combi boiler, of which the
warranty period has expired, is performed without charges for replacement parts, labor and travel costs.
One general maintenance service is offered free of charge every year.
In addion, applicaons that you make to our Call Center line 444 0 322 for 24 hours are answered within
3 hours and service is provided to your combi boiler.
Note: this warranty is valid for your maximum 10 year old combi boilers and in the cies where natural gas
is used.
APPENDICES
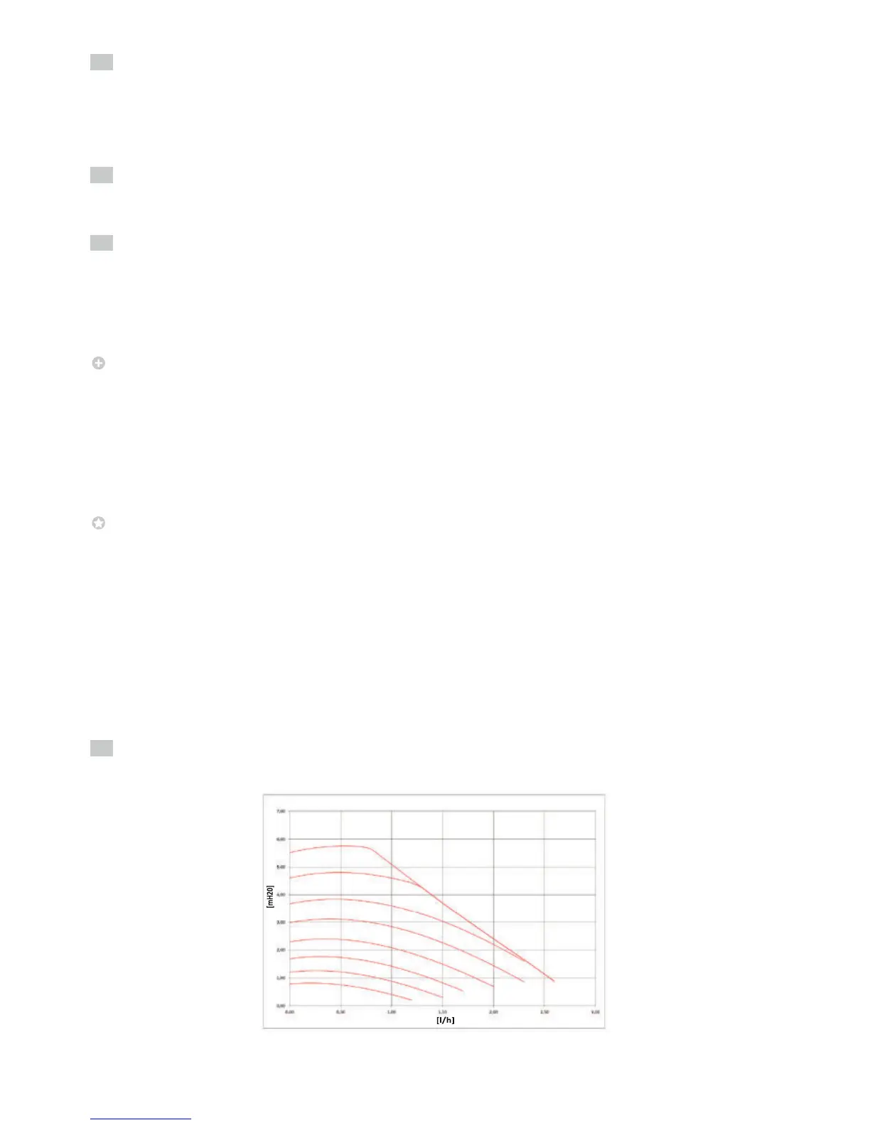
1) Pump water pressure head characterisc curve (Pump head - flow rate)
Flow Rate
27
Figure 19
Flow Rate - Pump Head Curve
Head

Related product manuals