EasyManua.ls Logo

Elfa BLDF99 - Protective Kit

Elfa BLDF99
21 pages
Print Icon
To Next Page IconTo Next Page
To Next Page IconTo Next Page
To Previous Page IconTo Previous Page
To Previous Page IconTo Previous Page
Loading...
Protective kit
During operation, the oven glass door and adjacent parts of the appliance become hot. Make sure,
therefore, that children do not touch the appliance.
This appliance is not intended for use by persons (including children) with reduced physical,
sensory or mental capabilities or lack of experience and knowledge, unless they have been given
supervision or instruction concerning use of the appliance by a person responsible for their safety.
Children should be supervised to ensure that they do not play with the appliance.
For greater safety, an additional child-safety device is available from our Head Office and our
Authorised Service Centres (see enclosed list). When ordering this, please give the code:
BAB-followed by the appliance model. The model is stamped on the plate which is visible on the
front part of the oven upon opening the door.
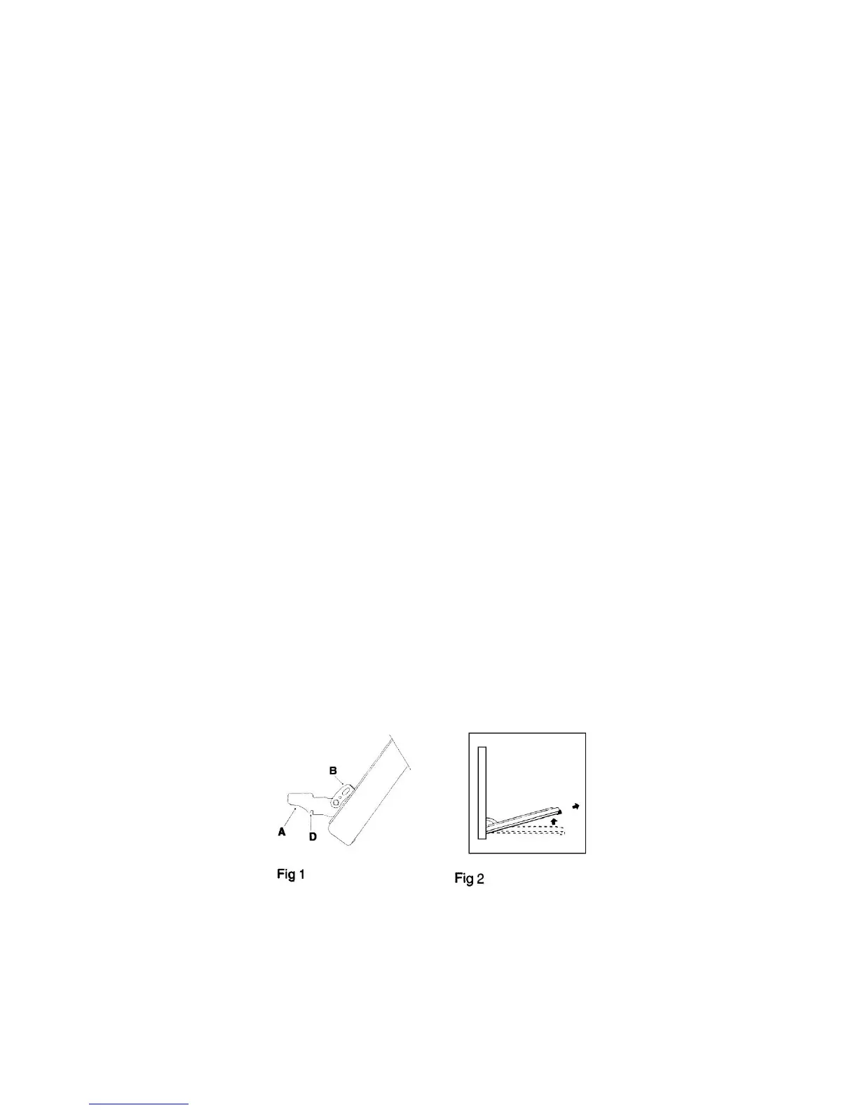
Disassembling/assembling the oven door
To make it easier to clean the inside of your oven, the oven door can be removed, by proceeding
as follows (fig. 1-2):
Open the door completely and lift the 2 levers “B” (fig.1);
Now, shutting the door slightly, you can lift it out by pulling out the hooks “A” as shown in
figure 2.
To reassemble the door:
With the door in a vertical position, insert the two hooks “A” into the slots;
Ensure that seat “D” is hooked perfectly onto the edge of the slot (move the oven door
backwards and forward slightly);
Keep the oven door open fully, unhook the 2 levers “B” downwards and then shut the door
again.

Related product manuals