EasyManua.ls Logo

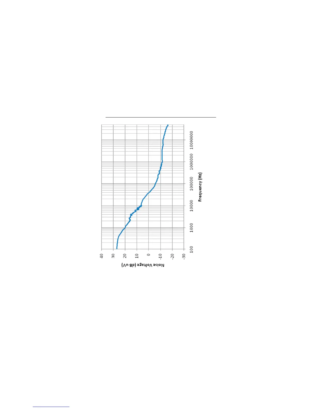
ETS-Lindgren 3301C - Typical Curves-Typical Maximum Noise Voltage Using 10 Hz Bandwidth

ETS-Lindgren 3301C
62 pages
Print Icon
To Next Page IconTo Next Page
To Next Page IconTo Next Page
To Previous Page IconTo Previous Page
To Previous Page IconTo Previous Page
Loading...
Data and Illustrations | 55
Typical Curves–Typical Maximum Noise Voltage
Using 10 Hz Bandwidth

Table of Contents

Related product manuals