EasyManua.ls Logo

Fenix HT18R - Product Features

Fenix HT18R
6 pages
Print Icon
To Next Page IconTo Next Page
To Next Page IconTo Next Page
To Previous Page IconTo Previous Page
To Previous Page IconTo Previous Page
Loading...
Range graph
Warning
DO place this flashlight out of the reach of children!
Do NOT shine the flashlight directly into the eyes of anyone!
Do NOT place light head near flammable objects as high temperatures can cause objects to
overheat and become flammable/ignite!
Do NOT use the flashlight in inappropriate ways such as holding the unit in your mouth. If the
battery were to fail while doing so death or serious injury could result.
This flashlight will accumulate a lot of heat while operating, resulting in a high temperature of
the flashlight outer case. Pay close attention to the thermal condition of the flashlight to avoid
burns.
Remove the battery from the flashlight to prevent accidental activation when the flashlight is
placed in a closed-in and flammable environment such as pockets and backpacks!
The LED of this flashlight is not replaceable; so the whole flashlight will need to be replaced
when the LED reaches the end of its lifespan.
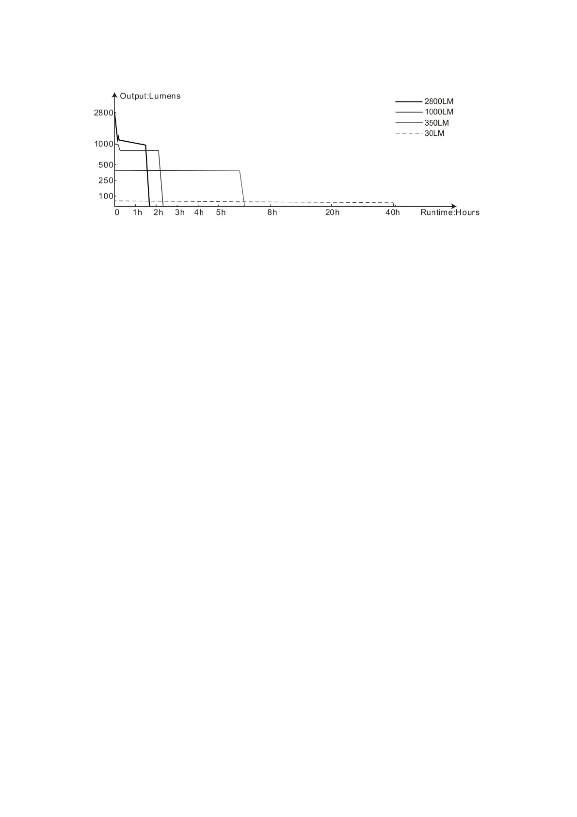
Product features
2800 lumens maximum output and 1100 meters maximum beam distance.
Utilizes one Luminus SFT70 LED with a lifespan of 50,000 hours.
Included a Fenix ARB-L21-5000 V2.0 rechargeable battery.
Inner waterproof USB Type-C charging port.
Included red and green filter adapters.
Instant strobe.

Related product manuals