EasyManua.ls Logo

Friedrich FPHMR24A3A - Page 107

Friedrich FPHMR24A3A
244 pages
Print Icon
To Next Page IconTo Next Page
To Next Page IconTo Next Page
To Previous Page IconTo Previous Page
To Previous Page IconTo Previous Page
Loading...
107 PB
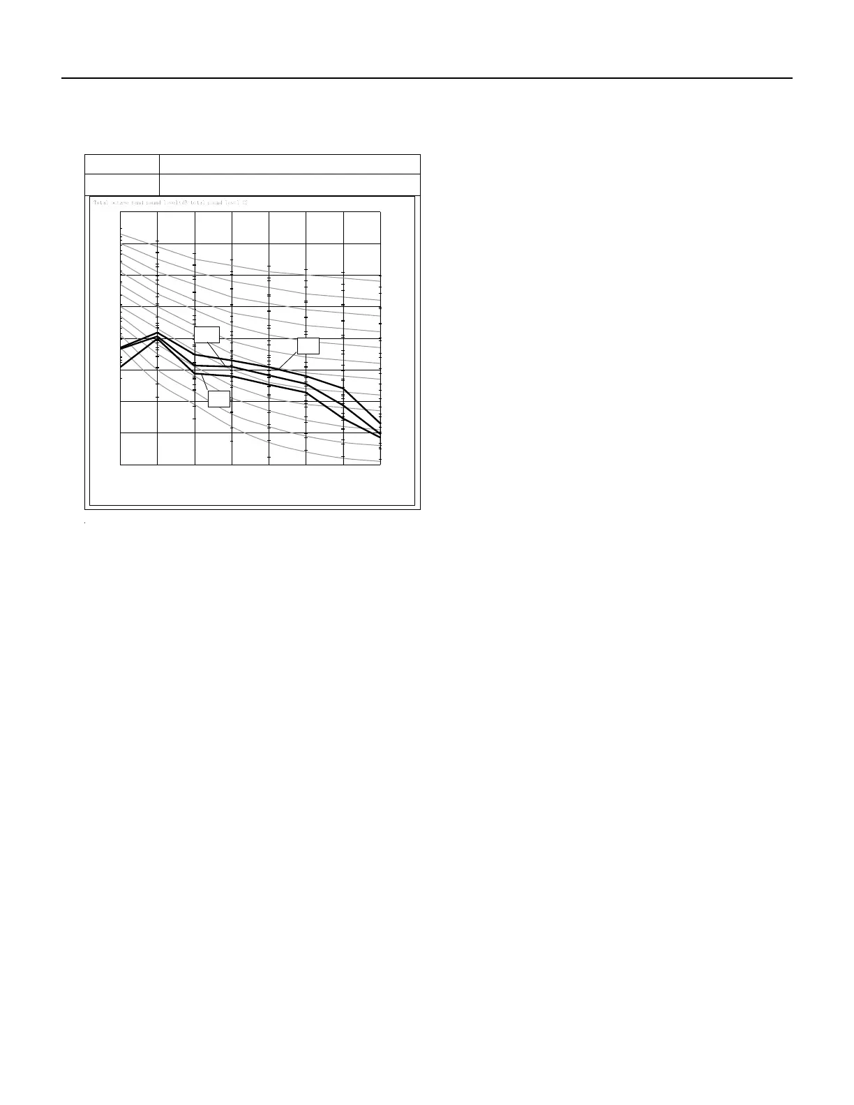
SPECIFICATIONS
Sound Pressure Data Cassettes
NC-15
NC-20
NC-25
NC-30
NC-35
NC-40
NC-45
NC-50
NC-55
NC-60
NC-65
NC-70
10
20
30
40
50
60
70
80
90
63 125 2k 4k 8k
C)
Total octave band sound level(dB:total sound level
Lo
250 500 1k
Octave band center frequency(Hz)
Med
Hi
Model
36K
Test condition 4.6ft(1.4m) under the unit; 3.3ft(1.0m) high from the ground

Table of Contents

Other manuals for Friedrich FPHMR24A3A

Related product manuals