EasyManua.ls Logo

Gree MULTI18HP230V1A - Basic & Protection Functions

Gree MULTI18HP230V1A
131 pages
Print Icon
To Next Page IconTo Next Page
To Next Page IconTo Next Page
To Previous Page IconTo Previous Page
To Previous Page IconTo Previous Page
Loading...
29
Basic Functions
e compressor should stay o for at least 3 minutes before starting the unit. e compressor circuit has a 3 minute delay if
the compressor is de-energized during a run cycle. If the compressor starts from a de-energized cycle, there will be no time
delay. e compressor has a minimum runtime of 6 minutes regardless of room temperature.
1) Cooling Mode
Cooling Process
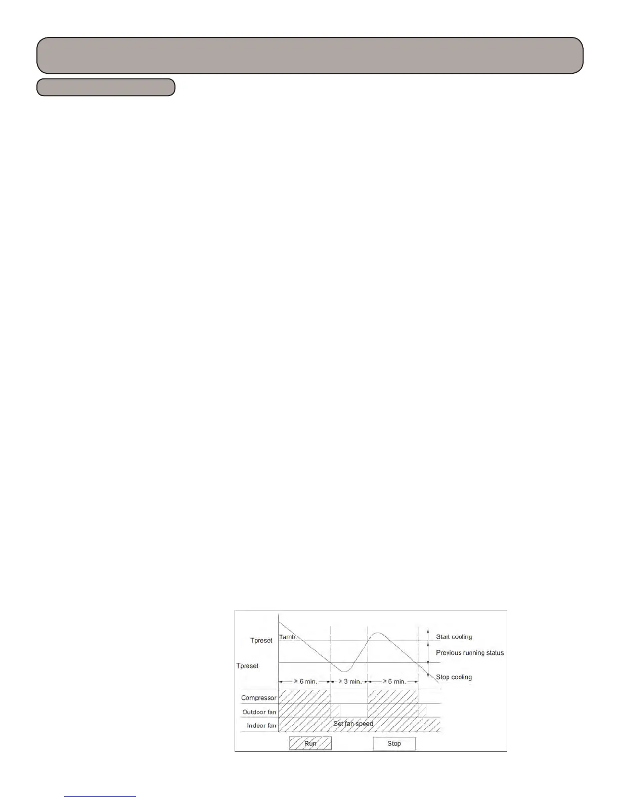
When the indoor ambient rises 2 F above the preset temperature from a stopped state, the unit will start the cooling cycle.
e outdoor fan and compressor will start. e indoor fan will run continuously at the selected speed. e outdoor unit
will monitor the appropriate temperatures and pressure and adjust the compressor speed and the EEV as required. If the
indoor ambient is > 2 F then the preset temperature, the compressor will increase the frequency; < 2 F the compressor
will begin reducing the frequency. e EEV will be closed on indoor units with no cooling requirement. e G10
technology will control compressor speed based on indoor load and compressor amperage. When the indoor temperature
is satised, the compressor will stop, then 60 seconds later the outdoor fan will stop. When the cooling mode transfers to
heating mode, the 4-way valve will be energized aer a two minute compressor delay.
Evaporator Freeze Protection
e soware will monitor the indoor evaporator coil form freezing.
e following will occur 6 minutes aer the compressor has been operating in the cooling or dry mode:
If the evaporator temperature drops below 36 F, the compressor will operate at a reduced frequency. If the evaporator
is below 30 F for 3 minutes, the compressor will stop, 30 seconds later the outdoor fan will stop. In cooling mode, the
indoor fan and swing motor will remain on. If the evaporator temperature is >= 50 F and the compress or is o for at least
3 minutes, the compressor will resume its normal operation state.
Overcurrent Protection
e soware will monitor the compressor current to maintain it in a safety and reliable operating range.
If the total current is greater than the rating, the compressor will stop, the outdoor fan will continue to run for 60 seconds,
then stop.
2) Dry Mode
Drying Process
is feature will not take the place of a dehumidier, it is intended to dry the lter and slightly cool the air. If the indoor
ambient temperature is greater than the preset temperature, the unit will enter the cooling and drying mode, in which
case the compressor will operate and the indoor fan will run at a low speed. When the indoor ambient temperature is at or
below the preset temperature, the unit will operate in it previous running state. When the indoor ambient drops to more
than 2 F below the preset temperature the compressor will stop running, then 30 seconds later the outdoor fan will stop,
the indoor fan will run at low speed.
Product Introduction
- 2 F
60 Sec 60 Sec