EasyManua.ls Logo

Harman Kardon AVR-133

Harman Kardon AVR-133
45 pages
To Next Page IconTo Next Page
To Next Page IconTo Next Page
To Previous Page IconTo Previous Page
To Previous Page IconTo Previous Page
Loading...
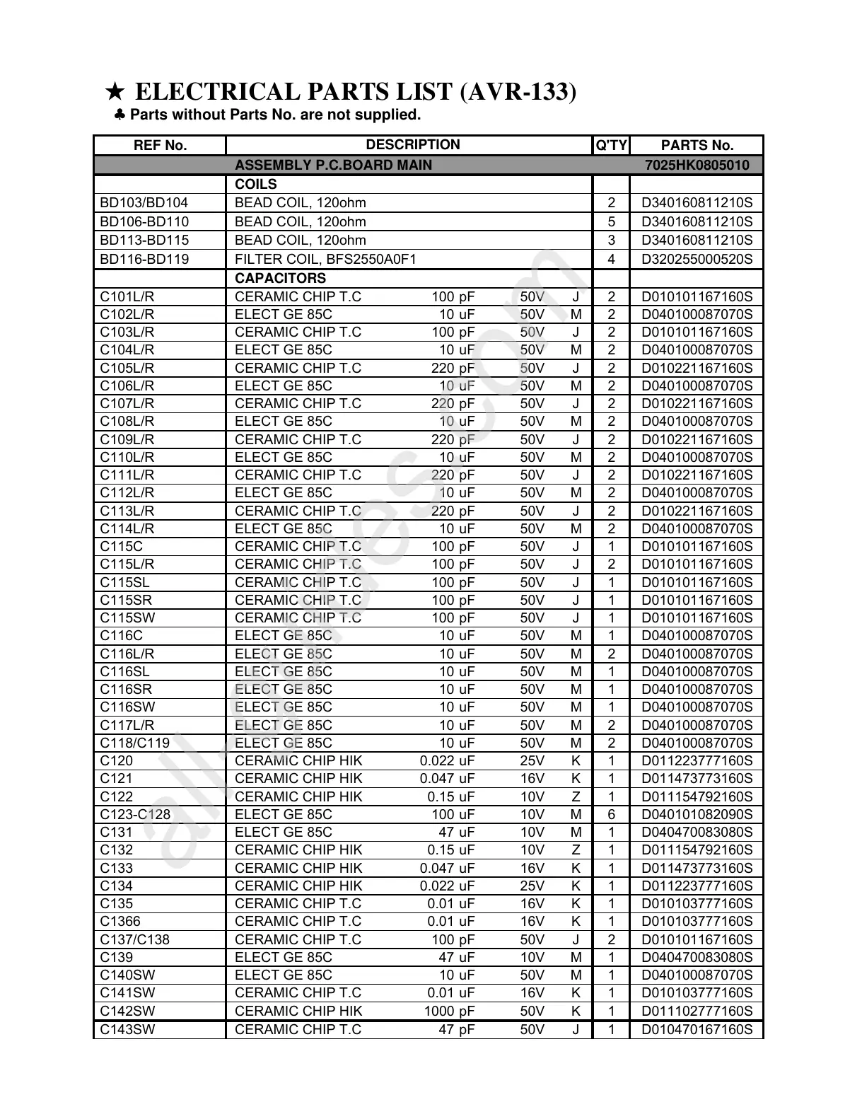
ELECTRICAL PARTS LIST
(
AVR-133
)
Parts without Parts No. are not supplied.
REF No. Q'TY PARTS No.
ASSEMBLY P.C.BOARD MAIN 7025HK0805010
COILS
BD103/BD104 BEAD COIL, 120ohm 2 D340160811210S
BD106-BD110 BEAD COIL, 120ohm 5 D340160811210S
BD113-BD115 BEAD COIL, 120ohm 3 D340160811210S
BD116-BD119 FILTER COIL, BFS2550A0F1 4 D320255000520S
CAPACITORS
C101L/R CERAMIC CHIP T.C 100 pF 50V J 2 D010101167160S
C102L/R ELECT GE 85C 10 uF 50V M 2 D040100087070S
C103L/R CERAMIC CHIP T.C 100 pF 50V J 2 D010101167160S
C104L/R ELECT GE 85C 10 uF 50V M 2 D040100087070S
C105L/R CERAMIC CHIP T.C 220 pF 50V J 2 D010221167160S
C106L/R ELECT GE 85C 10 uF 50V M 2 D040100087070S
C107L/R CERAMIC CHIP T.C 220 pF 50V J 2 D010221167160S
C108L/R ELECT GE 85C 10 uF 50V M 2 D040100087070S
C109L/R CERAMIC CHIP T.C 220 pF 50V J 2 D010221167160S
C110L/R ELECT GE 85C 10 uF 50V M 2 D040100087070S
C111L/R CERAMIC CHIP T.C 220 pF 50V J 2 D010221167160S
C112L/R ELECT GE 85C 10 uF 50V M 2 D040100087070S
C113L/R CERAMIC CHIP T.C 220 pF 50V J 2 D010221167160S
C114L/R ELECT GE 85C 10 uF 50V M 2 D040100087070S
C115C CERAMIC CHIP T.C 100 pF 50V J 1 D010101167160S
C115L/R CERAMIC CHIP T.C 100 pF 50V J 2 D010101167160S
C115SL CERAMIC CHIP T.C 100 pF 50V J 1 D010101167160S
C115SR CERAMIC CHIP T.C 100 pF 50V J 1 D010101167160S
C115SW CERAMIC CHIP T.C 100 pF 50V J 1 D010101167160S
C116C ELECT GE 85C 10 uF 50V M 1 D040100087070S
C116L/R ELECT GE 85C 10 uF 50V M 2 D040100087070S
C116SL ELECT GE 85C 10 uF 50V M 1 D040100087070S
C116SR ELECT GE 85C 10 uF 50V M 1 D040100087070S
C116SW ELECT GE 85C 10 uF 50V M 1 D040100087070S
C117L/R ELECT GE 85C 10 uF 50V M 2 D040100087070S
C118/C119 ELECT GE 85C 10 uF 50V M 2 D040100087070S
C120 CERAMIC CHIP HIK 0.022 uF 25V K 1 D011223777160S
C121 CERAMIC CHIP HIK 0.047 uF 16V K 1 D011473773160S
C122 CERAMIC CHIP HIK 0.15 uF 10V Z 1 D011154792160S
C123-C128 ELECT GE 85C 100 uF 10V M 6 D040101082090S
C131 ELECT GE 85C 47 uF 10V M 1 D040470083080S
C132 CERAMIC CHIP HIK 0.15 uF 10V Z 1 D011154792160S
C133 CERAMIC CHIP HIK 0.047 uF 16V K 1 D011473773160S
C134 CERAMIC CHIP HIK 0.022 uF 25V K 1 D011223777160S
C135 CERAMIC CHIP T.C 0.01 uF 16V K 1 D010103777160S
C1366 CERAMIC CHIP T.C 0.01 uF 16V K 1 D010103777160S
C137/C138 CERAMIC CHIP T.C 100 pF 50V J 2 D010101167160S
C139 ELECT GE 85C 47 uF 10V M 1 D040470083080S
C140SW ELECT GE 85C 10 uF 50V M 1 D040100087070S
C141SW CERAMIC CHIP T.C 0.01 uF 16V K 1 D010103777160S
C142SW CERAMIC CHIP HIK 1000 pF 50V K 1 D011102777160S
C143SW CERAMIC CHIP T.C 47 pF 50V J 1 D010470167160S
DESCRIPTION
All manuals and user guides at all-guides.com
all-guides.com

Related product manuals