EasyManua.ls Logo

Hisense MTK8222 - Video;S-Video Input Troubleshooting

Hisense MTK8222
75 pages
Print Icon
To Next Page IconTo Next Page
To Next Page IconTo Next Page
To Previous Page IconTo Previous Page
To Previous Page IconTo Previous Page
Loading...
- 60 -
LCD TV Service Manual
Hisense Confidential
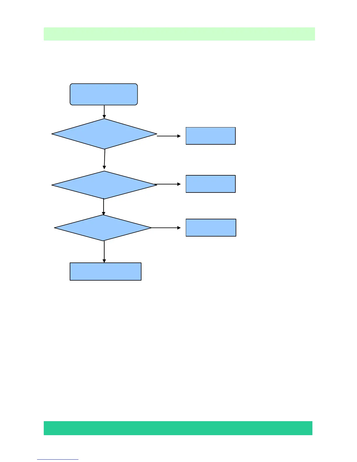
4.4.7 Troubleshooting for Video/S-Video input
No picture on the screen
Check Source work or not
Check connect
Check Cable/ Wires
Replace main board
Check Signal Source
Reconnect
Replace Cable/Wires
NO
YES
YES
NO
YES
NO

Related product manuals