EasyManua.ls Logo

HP Compaq NC6110 - Page 50

HP Compaq NC6110
237 pages
Print Icon
To Next Page IconTo Next Page
To Next Page IconTo Next Page
To Previous Page IconTo Previous Page
To Previous Page IconTo Previous Page
Loading...
2–22 Maintenance and Service Guide
Troubleshooting
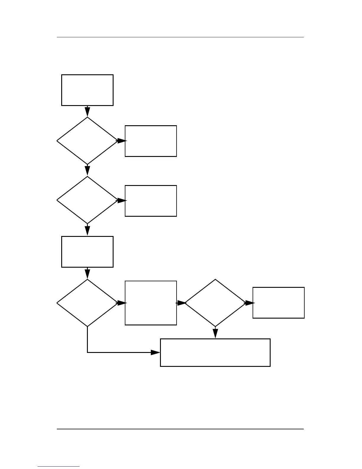
Flowchart 2.16—No Audio, Part 2
YN
Continued from
“Flowchart
2.15—No Audio,
Part 1.
Reload
audio drivers.
Audio
driver in OS
configured?
Audio?
Y
Y
YN
N
N
Correct
drivers for
application?
Connect to
external
speaker.
Load drivers and
set configuration
in OS.
Audio? Done
Replace audio
board and
speaker
connections
in computer
(if applicable).
1. Replace internal speakers.
2. Replace audio board (if applicable).
3. Replace system board.

Table of Contents

Related product manuals