EasyManua.ls Logo

Hydronix Hydro-Probe - Figure 10: Relationship of Unscaled Values to Moisture

Default Icon
53 pages
Print Icon
To Next Page IconTo Next Page
To Next Page IconTo Next Page
To Previous Page IconTo Previous Page
To Previous Page IconTo Previous Page
Loading...
Configuration Chapter 2
Configuration and Calibration Guide HD0679 Rev 1.2.0 25
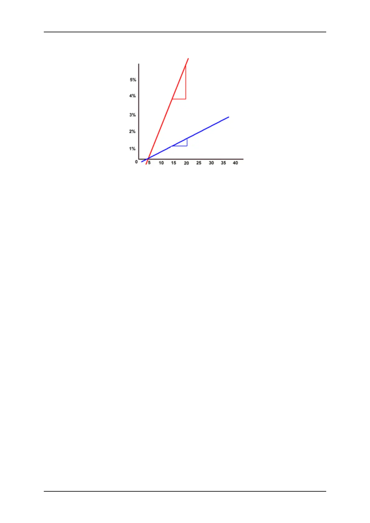
Moisture
percentage value
Sensor Unscaled Value
5 Unscaled units = 1.7%
5 Unscaled units = 0.4%
B
A
Figure 10: Relationship of Unscaled Values to Moisture
To determine which mode is the most appropriate it is recommend to run trials for a given
material, mixer type or application. Before doing so it is recommend that you contact Hydronix
to seek advice on our recommended settings for your given application.
Trials differ dependent upon the application. For a measurement taken over time it is
recommended to record the sensor’s output from each of the different measurement modes in
the same process. Data can easily be recorded using a PC and the Hydronix Hydro-Com
software; these results may then be plotted to ascertain the most suitable measurement
mode.
For further analysis, including sensor filtering analysis Hydronix can also offer advice as well
as software to enable the experienced user to achieve the best possible settings for a sensor.
Hydro-Com software and the user guide may be downloaded from www.hydronix.com.
When using the sensor to obtain an output signal that is calibrated to moisture (an absolute
moisture measurement) it is recommended to calibrate using the different measurement
modes and to compare results (see Chapter 3 for more details).
For further information please contact the Hydronix support team at support@hydronix.com

Table of Contents