EasyManua.ls Logo

Hydronix Hydro-Probe - Calibrating a Sensor in a Mixer; Figure 20: Example of a Good Quadratic Calibration; Figure 21: Example of a Bad Quadratic Calibration

Default Icon
53 pages
Print Icon
To Next Page IconTo Next Page
To Next Page IconTo Next Page
To Previous Page IconTo Previous Page
To Previous Page IconTo Previous Page
Loading...
Chapter 3 Sensor Integration and Material Calibration
36 Configuration and Calibration Guide HD0679 Rev 1.2.0
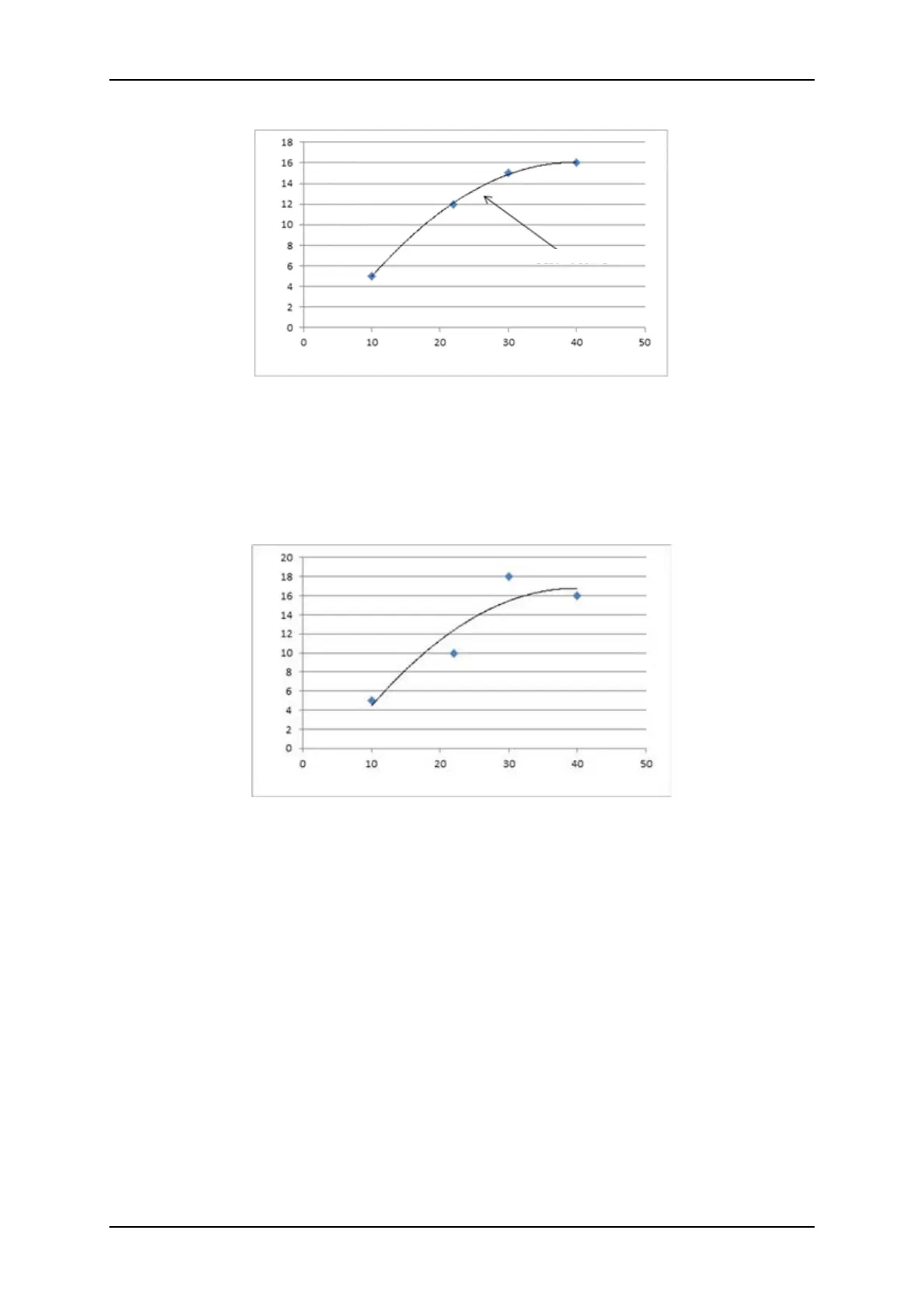
Best Fit Curve
Material Moisture %
Sensor Unscaled output
Figure 20: Example of a Good Quadratic Calibration
Figure 21 is an example of a poor calibration. It is evident that the calibration points are not
close to the curve fit and this indicates that there are possible sampling and laboratory errors.
This calibration would need to be completed again.
Material Moisture %
Sensor Unscaled Output
Figure 21: Example of a Bad Quadratic Calibration
8 Calibrating a sensor in a mixer
When a sensor has been installed in a mixer, with multiple materials, and it is required to output
moisture % it is not always possible to perform a standard calibration process. This is especially
true in concrete production. Taking samples of the finished wet concrete and performing a bake-
out to determine the moisture % is not reliable due to the chemical reactions and safety issues.
The following method can be used to calibrate in these situations.
1. To calibrate in the mixer the moisture % of all the dry materials must be calculated using
a suitable calibrated moisture sensor or by using laboratory facilities.
In this example the dry mix material moistures and weights are:
Sand = 950kg at 8% moisture
Gravel = 1040kg at 2.5% moisture
Cement = 300kg at 0% moisture (Should always be 0%)

Table of Contents