EasyManua.ls Logo

Hydronix Hydro-Probe - Chapter 3 Sensor Integration and Material Calibration; Sensor Integration; Introduction to Material Calibration; Figure 14: Calibrations for 3 Different Materials

Default Icon
53 pages
Print Icon
To Next Page IconTo Next Page
To Next Page IconTo Next Page
To Previous Page IconTo Previous Page
To Previous Page IconTo Previous Page
Loading...
Configuration and Calibration Guide HD0679 Rev 1.2.0 29
Chapter 3 Sensor Integration and Material Calibration
1 Sensor Integration
The sensor may be integrated into a process in one of three ways:-
The sensor may be configured to output a linear value of between 0-100 Unscaled units
with a material calibration being performed in an external control system.
Or
The sensor may be internally calibrated using the Hydro-Com sensor configuration and
calibration software to output an absolute moisture percentage value.
Or
The sensor could also be used to output a target value
Software development tools are available from Hydronix for system designers who wish to
develop their own interface.
For full details about how to integrate the sensor into a control system or process see
document EN0077 ‘Moisture control methods for batching’.
2 Introduction to Material Calibration
2.1 The “Unscaled” Value
When it is manufactured, each sensor is individually calibrated in a controlled environment so
that a zero (0) value relates to the measurement in air and 100 relates to water. This is used
to give a raw output value from a Hydronix sensor which ranges from 0 to 100 and is called
the Unscaled value.
2.2 Why Calibrate?
Hydronix Microwave Moisture Sensors measure the electrical properties of a material. Each
material has its own unique electrical characteristics and as a result a calibration process
must be performed to output a true moisture/Brix value. As the moisture in a material varies
the sensor detects the changes and the Unscaled value is adjusted accordingly. Due to every
material having a different electrical property the Unscaled value at a certain moisture % will
result in a different Unscaled value for each material.
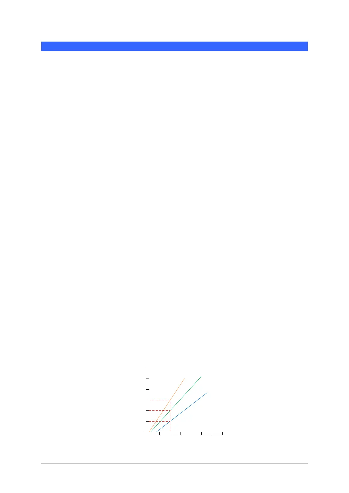
Figure 14: Calibrations for 3 Different Materials shows the calibration line for three different
materials. It can be seen that for each material when the Unscaled value is at 20 the
corresponding Moisture % is different. For material A an Unscaled value of 20 corresponds to
a moisture of 15%. At the same Unscaled value for Material B the moisture is 10%.
Sensor Unscaled
Moisture %
10 20 30 40
50
60 70
30
25
20
15
10
5
Material A
Material B
Material C
Figure 14: Calibrations for 3 Different Materials

Table of Contents