EasyManua.ls Logo

InFocus INF5520 - Page 50

InFocus INF5520
63 pages
Print Icon
To Next Page IconTo Next Page
To Next Page IconTo Next Page
To Previous Page IconTo Previous Page
To Previous Page IconTo Previous Page
Loading...
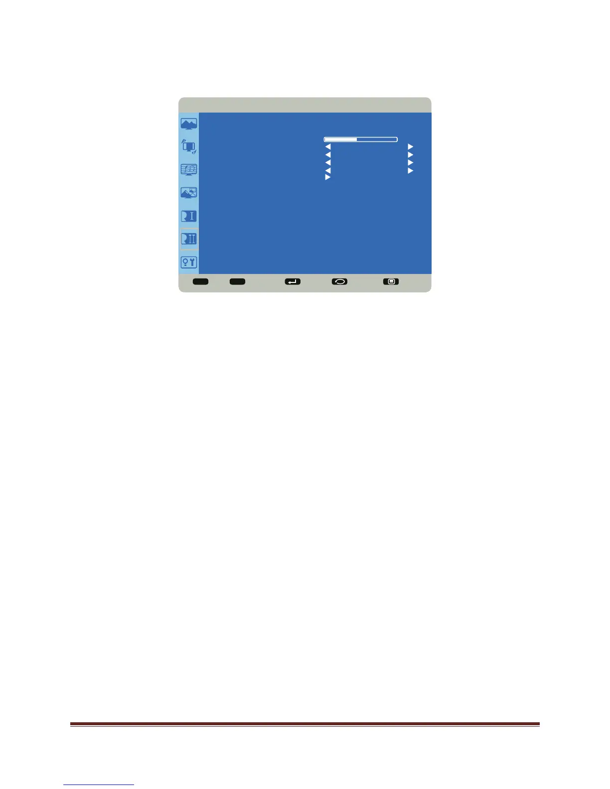
Page 48 OSD (On-Screen Display) Menu System
Configuration 2
OSD Turn Off: controls how many seconds the OSD menu remains on the screen Range:
5-120 (seconds). (Default: 45)
Information OSD: controls how many seconds the Information OSD remains on the screen.
Options include: Off and a range of 1-10 (seconds) in increments of 1. (Default: 10)
Sleep Timer: adjusts the time when the Mondopad™ automatically shuts off. Options
include: Off (default) and range of 1-24 (hours) in increments of 1.
OSD H Position: adjusts the horizontal position of the OSD menu. Range: 0-100. (Default:
50)
OSD V Position: adjusts the vertical position of the OSD menu. Range: 0-100. (Default: 50)
Monitor Information: This read-only submenu displays the model name, serial number,
firmware version and amount of time the product has been powered on (hours/minutes).
Sel Adjust Enter Back Quit
< >
<
<
CONFIGURATION 2
OSD TURN OFF
INFORMATION OSD
SLEEP TIMER
OSD H POSITION
OSD V POSITION
MONITOR INFORMATION
10
OFF
50
50
45

Other manuals for InFocus INF5520