EasyManua.ls Logo

King Tool CanScan D900 - DTC Examples and Testing Preparation; Preparation Before Testing

King Tool CanScan  D900
29 pages
Print Icon
To Next Page IconTo Next Page
To Next Page IconTo Next Page
To Previous Page IconTo Previous Page
To Previous Page IconTo Previous Page
Loading...
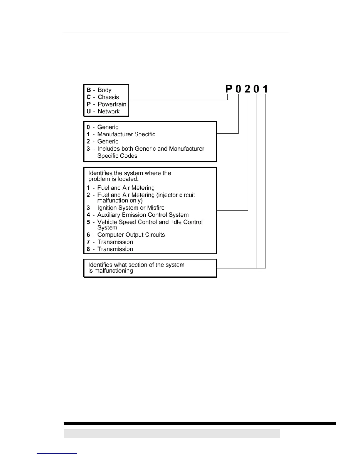
Onboard Diagnostics
DIAGNOSTIC TROUBLE CODES (DTCs)
BD 2 DTC EXAMPLE
P0201 - Injector Circuit Malfunction, Cylinder 1
D900 CanScan 19