EasyManua.ls Logo

Kohler 40-150EOZDJ

Kohler 40-150EOZDJ
84 pages
To Next Page IconTo Next Page
To Next Page IconTo Next Page
To Previous Page IconTo Previous Page
To Previous Page IconTo Previous Page
Loading...
TP-6862 6/14 59Section 9 Paralleling Generator Sets
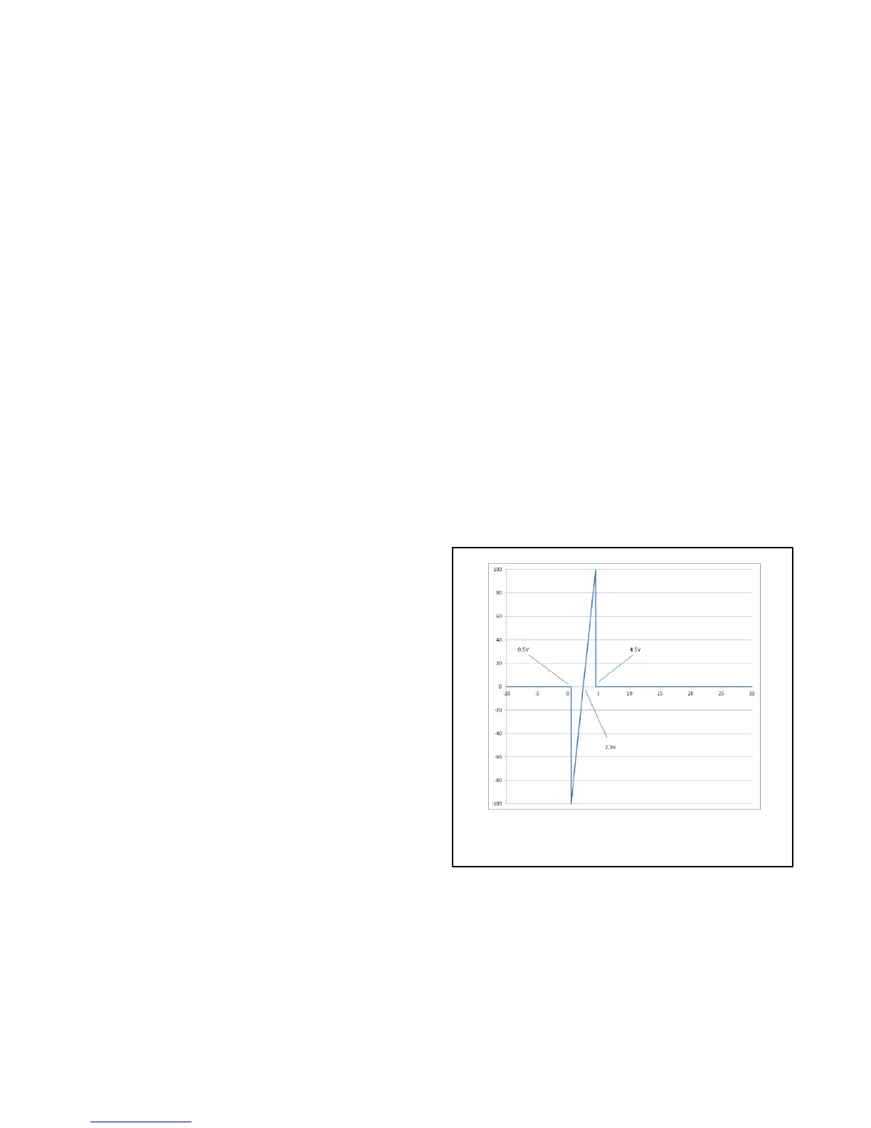
With the external bias enabled, the engine speed is
set based on the voltage between SBP and SBN:
D Voltage < 0.5V: Engine Run Speed
D Voltage = 0.5V: 95% of Engine Run Speed
D Voltage = 2.5V: Engine Run Speed
D Voltage = 4.5V: 105% of Engine Run Speed
D Voltage > 4.5V: Engine Run Speed
With the external bias enabled, the output voltage
is set based on the voltage between VBP and VBN:
D Voltage < 0.5V: Voltage Regulator Average
Voltage Adjustment
D Voltage = 0.5V: 90% of Voltage Regulator
Average Voltage Adjustment
D Voltage = 2.5V: Voltage Regulator Average
Voltage Adjustment
D Voltage = 4.5V: 110% of Voltage Regulator
Average Voltage Adjustment
D Voltage > 4.5V: Voltage Regulator Average
Voltage Adjustment
The Decision-Makerr 3500 controller reads the
voltage on the speed and voltage bias inputs every
50 ms (20 times per second) and passes the new
target to the voltage regulator and the ECM.
Reactive droop should be enabled on the
Decision-Makerr 3500 when paralleling with
another generator set (either in simple or intelligent
paralleling). The slope should be identical on all
generators in the paralleling system (the default is
1.0%). Reactive droop can be configured using
either SiteTecht or the User Interface (UI) at the
controller:
Using SiteTecht, under the Reactive Power
Load Sharing parameter.
Using the UI , under the
Generator Info -> Voltage Regulation Menu and
Generator Info -> Paralleling Operation ->
Sharing Setup Menus.
Note: Non-ECM engines will require an electronic
governor (Woodward APECs) and an
appropriate Kohler governor calibration in
order to permit speed adjustment.
Speed Bias is the amount that the controller is
attempting to adjust the output frequency of the
generator (100% bias = +5% on the engine speed,
--100% = --5% on the engine speed). The controller
adjusts the Speed Bias to match frequency and
phase with the paralleling bus.
Note: The Speed Bias can also be controlled by an
external device if the External Bias Inputs
Enabled parameter is true, the Stand Alone
Operation parameter is false, no generators
are visible on the PGEN communications
channel, and the voltage applied to the
speed bias input is between 0.5V and 4.5V.
The External Speed Bias Input (SBP and SBN) is a
voltage measuring channel capable of reading
from --10V to 30V DC. The input is normally pulled
down to --3.3V, but can be overridden by applying a
voltage to the input.
The voltage that the controller sees on the voltage
measuring channels is visible in the Analog
Voltage Input Metered Relative Value under the
Programmable Analog Voltage Input 108
parameter heading. The input is polarity sensitive.
The Speed Bias is interpreted by the controller as
shown in Figure 9-1.
Range: -100.00% 100.00%
Default: 0.00% **Not Writable**
Figure 9-1 Speed Bias

Table of Contents

Related product manuals