EasyManua.ls Logo

Kontron ETX CD - Appendix C: Document Revision

Kontron ETX CD
91 pages
Print Icon
To Previous Page IconTo Previous Page
To Previous Page IconTo Previous Page
Loading...
13 Appendix C: Document Revision
Kontron User's Guide ETX CD 91
13 Appendix C: Document Revision
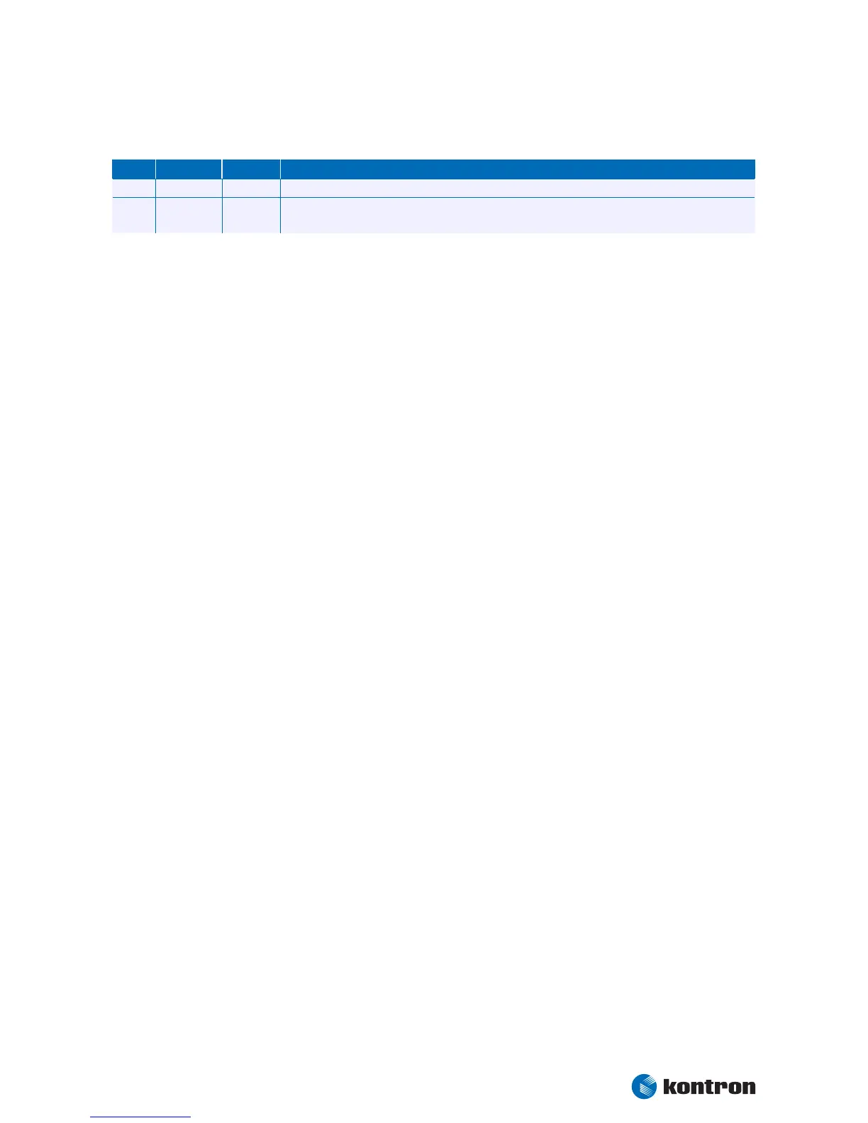
Rev. Date Author Changes
0.3 17.04.07 UMA Created preliminary manual.
1.0 05.03.08 UMA
Added power measurements, added BIOS setup notes, fixed small issues, added note at
height specification, added chapter "Limitations"

Table of Contents

Related product manuals