EasyManua.ls Logo

Lennox LCH 048

Lennox LCH 048
140 pages
To Next Page IconTo Next Page
To Next Page IconTo Next Page
To Previous Page IconTo Previous Page
To Previous Page IconTo Previous Page
Loading...
Page 34
LGH/LCH036, 048, 060, 072
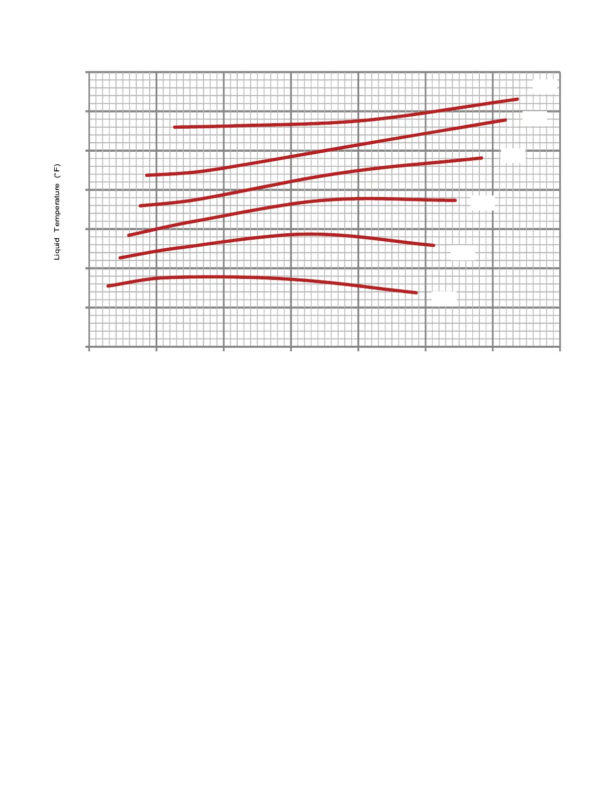
LGH/LCH072H CHARGING CURVE - ALL-ALUMINUM COIL
Suction Pressure (psig)
60
70
80
90
100
110
120
130
110 120 130 140 150 160
Outdoor Temperature (°F)
170 180
105°
95°
115°
85°
75°
65°

Related product manuals