EasyManua.ls Logo

Lenze EVF9331 - Edsvf9333 V en 3.0-06;2005

Lenze EVF9331
459 pages
Print Icon
To Next Page IconTo Next Page
To Next Page IconTo Next Page
To Previous Page IconTo Previous Page
To Previous Page IconTo Previous Page
Loading...
Configuration
Function blocks
Internal motor control with vector control (MCTRL2)
8
8.2
8.2.7
8.2-67
EDSVF9333V EN 3.0-06/2005
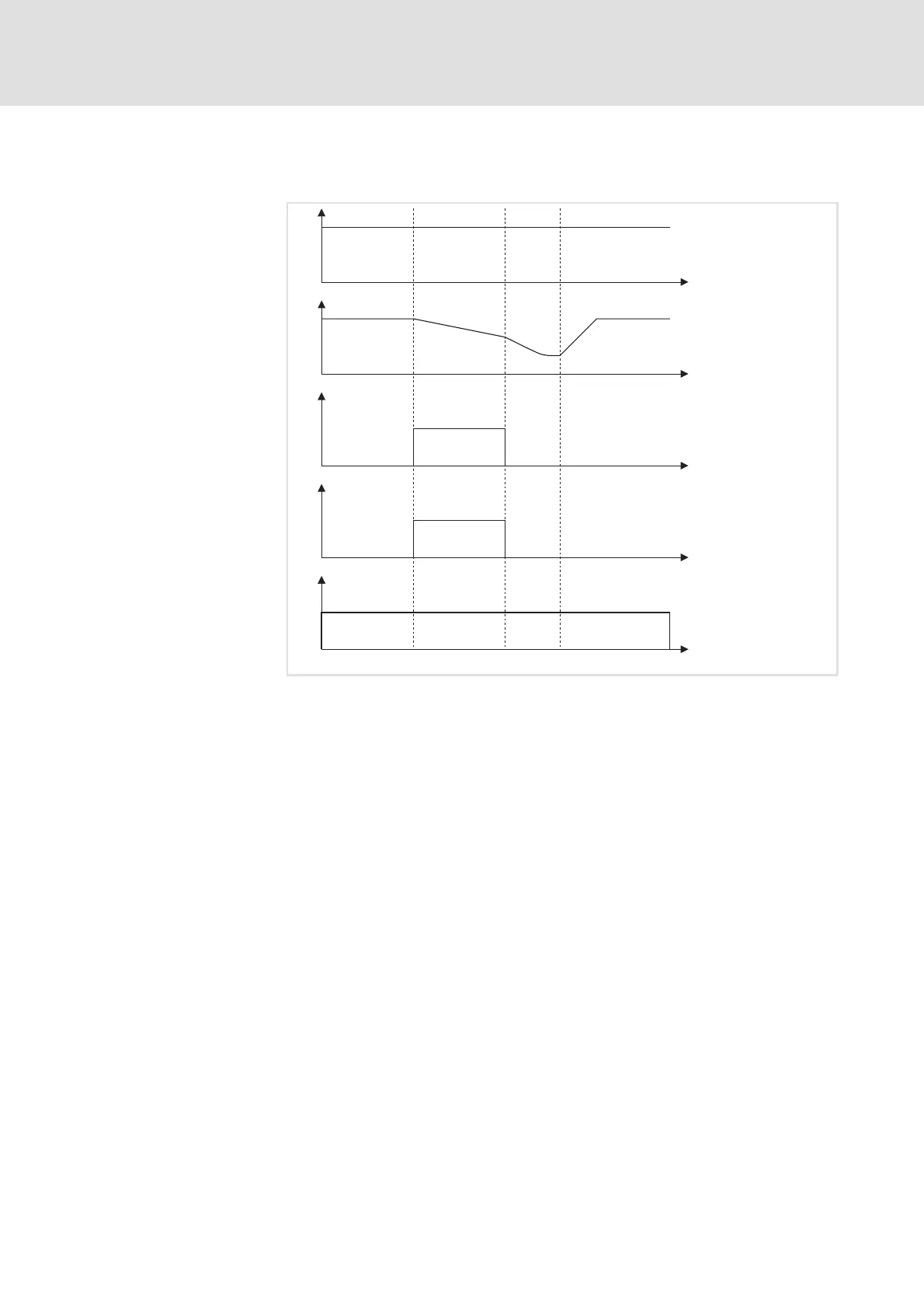
Flying restart circuit without protection against unexpected start-up
(C0142 = 3):
0
1
2
3
4

9300vec088
Fig. 8.2-24 Signal characteristic for automatic start with flying restart circuit (C0142 = 3)
Speed setpoint (e.g. AIN-OUT)
Actual speed value
Fault (e.g. DCTRL-FAIL = HIGH)
Pulse inhibit (e.g. DCTRL-IMP = HIGH)
Enable controller (e.g. X5/28 = HIGH)
c The motor rotates with setpoint
d A fault (e.g. mains failure, TRIP SET) activates a pulse inhibit .Themotor
coasts. After eliminating the fault (e.g. mains recovery, TRIP RESET) the pulse
inhibit is deactivated.
e The f lying restart circuit is active now and calculates the current motor
speed. If, after an OU message, the pulse inhibit is deactivated again, the
flying restart circuit is not started.
f The m otor is accelerated along the set acceleration ramp to the speed
setpoint and is being kept there

Table of Contents

Other manuals for Lenze EVF9331

Related product manuals