EasyManua.ls Logo

LG GA-B409U QA Series

LG GA-B409U QA Series
37 pages
To Next Page IconTo Next Page
To Next Page IconTo Next Page
To Previous Page IconTo Previous Page
To Previous Page IconTo Previous Page
Loading...
-14-
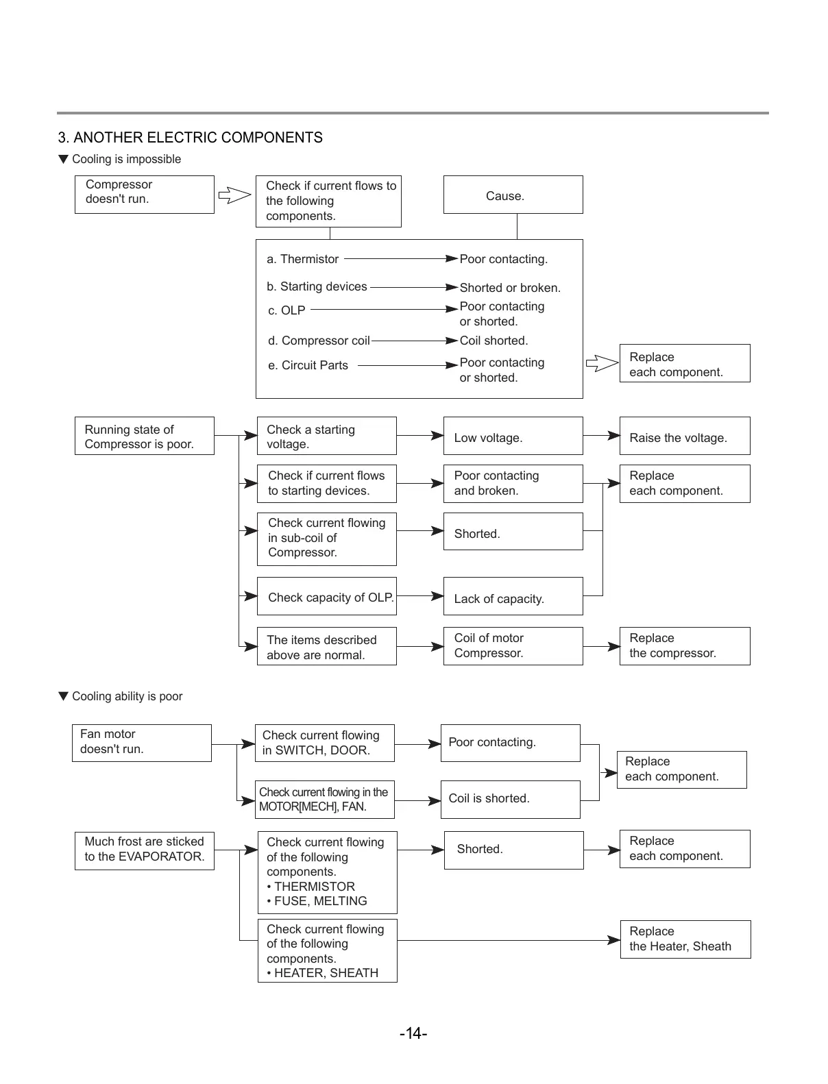
3. ANOTHER ELECTRIC COMPONENTS
Cooling is impossible
Cooling ability is poor
Compressor
doesn't run.
Running state of
Compressor is poo r .
Check a starting
voltage.
Check if current flows to
the following
components.
a. Thermistor
b. Starting devices
c. OLP
d. Compressor coil
e. Circuit Parts
Low voltage.
Poor contacting.
Shorted or broken.
Poor contacting
or shorted.
Coil shorted.
Poor contacting
or shorted.
Poor contacting
and broken.
Shorted.
Lack of capacit
y .
Coil of motor
Compresso r .
Replace
the compresso r .
Replace
each component.
Raise the voltage.
Replace
each component.
Cause.
Check if current flows
to starting devices.
Check current flowing
in sub-coil of
Compresso r .
Check capacity of OL P .
The items described
above are normal.
Much frost are sticked
to the E V APOR A T OR.
Shorted.
Replace
the Heate r , Sheath
Replace
each component.
Check current flowing
of the following
components.
• THERMIS T OR
• FUSE, ME L TING
Check current flowing
of the following
components.
• HE A TER, SHE A TH
Fan motor
doesn't run.
Poor contacting.
Coil is shorted.
Replace
each component.
Check current flowing
in SWITCH, DOOR.
Check current flowing in the
MOTOR[MECH], FAN.
All manuals and user guides at all-guides.com

Related product manuals