EasyManua.ls Logo

Lumiax MT4010 - Page 6

Default Icon
33 pages
Print Icon
To Next Page IconTo Next Page
To Next Page IconTo Next Page
To Previous Page IconTo Previous Page
To Previous Page IconTo Previous Page
Loading...
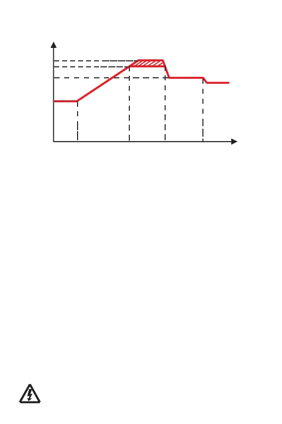
2.3 MPPT—Four Charging Stages
Magic series controller has a 4-stage battery charging algorithm for rapid, efficient, and safe battery charging.
MPPT Charge
In this stage, the battery voltage has not yet reached boost voltage and 100% of available solar power is used
to recharge the battery.
Boost Charge
When the battery has recharged to the Boost voltage setpoint, constant-voltage regulation is used to prevent
heating and excessive battery gassing. The Boost stage remains 120 minutes and then goes to Float
Charge.Whenever the controller is powered on, if it detects neither over discharged nor overvoltage, the
charging will enter into the boost charging stage.
Float Charge
After the Boost voltage stage, the controller will reduce the battery voltage to Float voltage setpoint. When the
battery is fully recharged, there will be no more chemical reactions and all the charge current transmits into
heat and gas at this time. Then the controller reduces the voltage to the floating stage, charging with a smaller
voltage and current. It will reduce the temperature of the battery and prevent the gassing, also charging the
battery slightly at the same time. The purpose of Float stage is to offset the power consumption caused by self
consumption and small loads in the whole system, while maintaining full battery storage capacity.
In the Float stage, loads can continue to draw power from the battery. If the system load(s) exceed the solar
charge current, the controller will no longer be able to maintain the battery at the Float setpoint. Should the
battery voltage remains below the boost reconnect charging voltage, the controller will exit the Float stage and
return to Bulk charging.
Equalize Charge
Certain types of batteries benefit from periodic equalizing charge, which can stir the electrolyte, balance battery
voltage and complete chemical reaction. Equalizing charge increases the battery voltage, higher than the
standard complement voltage, which gasifies the battery electrolyte. If it detects that the battery is being over
discharged, the solar controller will automatically turn the battery to the equalization charging stage, and the
equalization charging will be 120mins. Equalizing charge and boost charge are not carried out constantly in a
full charge process to avoid too much gas precipitation or overheating of the battery.
WARNING: Risk of explosion!
Equalizing flooded batter y can produce explosive gases, so well ventilation of
battery box is necessar y.
U(V)
MPPT
Charge
Boost
Charge
Float
Charge
Equalize
Charge
Night
TIME
13.7V
14.5V
14.8V
Night

Related product manuals