EasyManua.ls Logo

Mastech MS5308 - Series-Parallel Connection Mode Description; Functional Characteristics Description

Mastech MS5308
17 pages
Print Icon
To Next Page IconTo Next Page
To Next Page IconTo Next Page
To Previous Page IconTo Previous Page
To Previous Page IconTo Previous Page
Loading...
Page 4 of 17
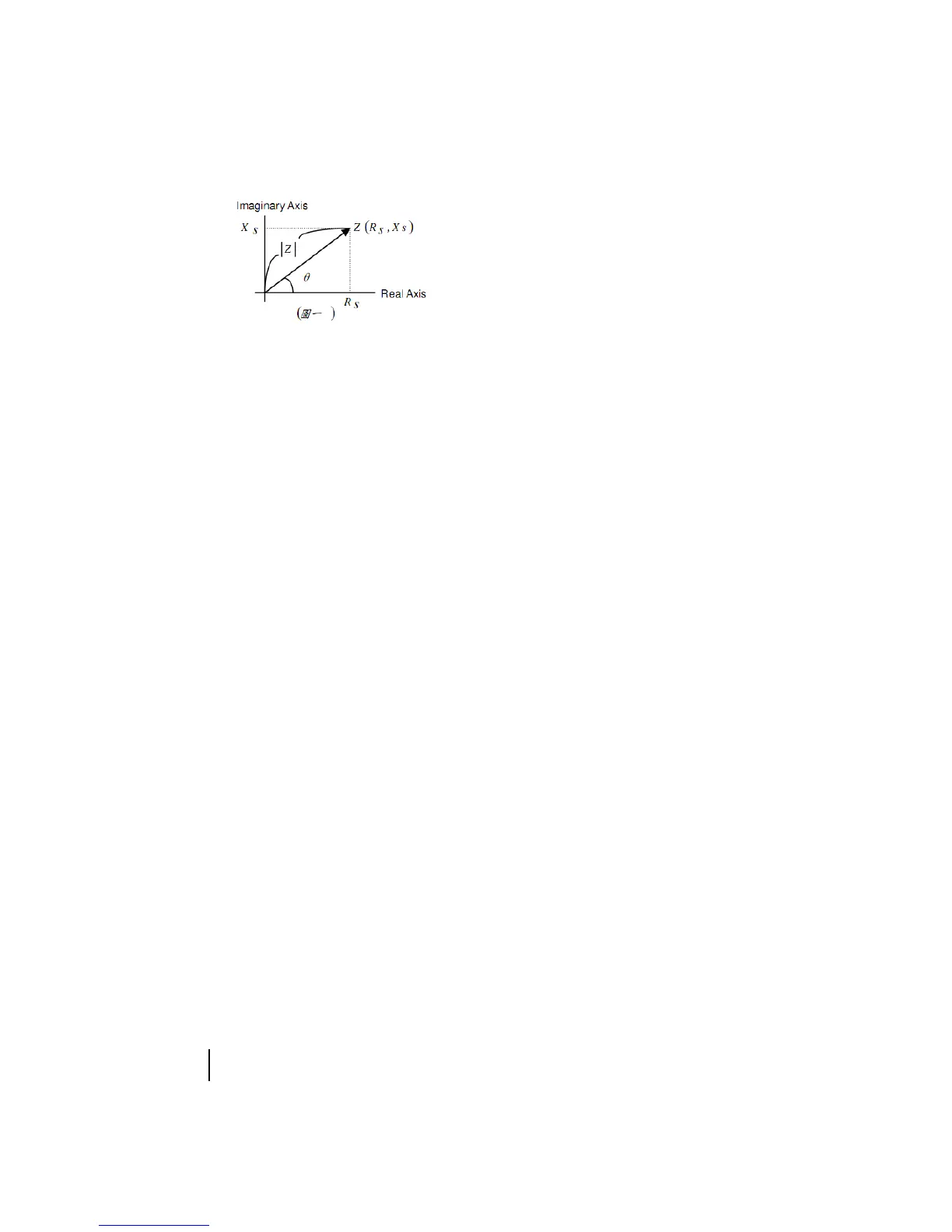
means that that the measured object is capacitive.
3.2 Series-parallel connection mode description
This meter has series and parallel measurement modes. When the
capacitance value of the measured object is large or inductance
value is small, use the series mode for more accurate results.
When the capacitance value of the measured object is small or
inductance value is large, use the parallel mode for more accurate
results. This meter can select the measurement mode
automatically according to the measured object.
4. Functional characteristics description:
1. 19,999 (main)/1,999 (secondary) dual LCD display
2. LCR measures with automatic identification and automatic
measurement range
3. L\C\R single measurement selection
4. Resistance measurement in DCR mode
5. D/Q/θ/ESR display on the secondary display
6. Series or parallel measurement modes are selectable
7. Comparison function under single measurement
8. Test frequency 100/120/1k/10k/100k is selectable in AC mode
9. The selection feature for measured components with the same
series
10. Battery power display, auto power off if meter is not operated
for 5 minutes.
11. With infrared transmission interface, the meter is secure
(supporting hot plug). With special software, the meter is easily
managed.
12. See table 1-3 for measurement accuracy and scope
Remarks: This accuracy is the measurement standard. In
DUT jack, the meter-specific probe should be used if required.
Measurement with probe may be influenced by external
environment. To avoid inaccurate measurements, please keep
away from strong magnetic sources.

Other manuals for Mastech MS5308

Related product manuals