EasyManua.ls Logo

Mindray DP-3300 - 4.3 No Echo Signal in Image Area

Mindray DP-3300
81 pages
Print Icon
To Next Page IconTo Next Page
To Next Page IconTo Next Page
To Previous Page IconTo Previous Page
To Previous Page IconTo Previous Page
Loading...
Overview
Keyboard is abnormal
.
Is the problem resolved?
Replace the main board.
The main board's fault
The main panel's fault
.
Yes
No
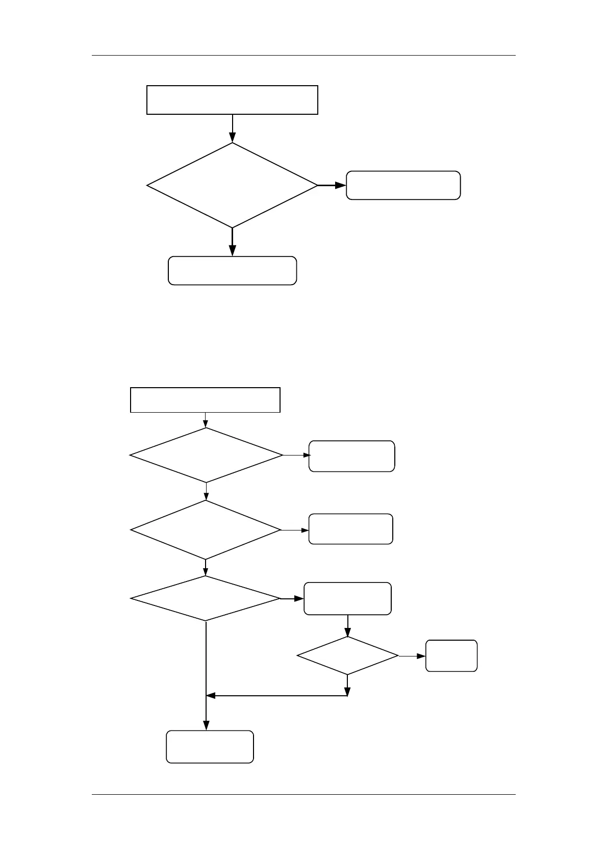
Figure 5-47 Solution of the keyboard fault
4.3No Echo Signal in Image Area
All B mo de ech o i ma ge s
are missing.
Replace the transducer
and use the same connector.
Connect different
transducer connector.
Is the problem resolved?
The transducer's
fault
The transducer
board's fault
Yes
Y
e
s
No
No
Can the sound “chirp” be
heard from the
transducer?
No
Replace the
power board.
Is the problem
resolved?
PHV's fault
Yes
Yes
No
Is the problem resolved?
The main board's fault
yes
5-2 DP-3300/DP-3200 Service ManualV1.1