EasyManua.ls Logo

Mitsubishi MR-J4-60A - Page 288

Mitsubishi MR-J4-60A
640 pages
Print Icon
To Next Page IconTo Next Page
To Next Page IconTo Next Page
To Previous Page IconTo Previous Page
To Previous Page IconTo Previous Page
Loading...
7. SPECIAL ADJUSTMENT FUNCTIONS
7 - 27
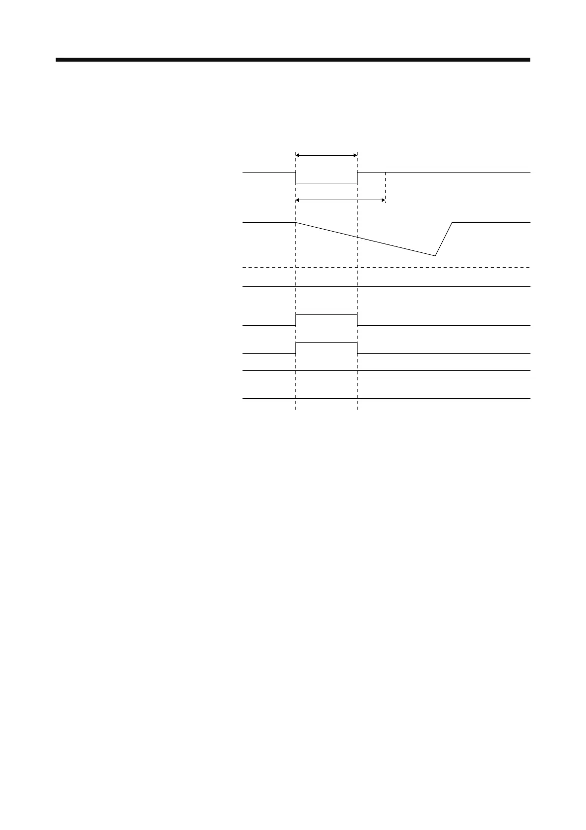
(b) When the bus voltage does not decrease lower than 158 V DC within the instantaneous power
failure time of the control circuit power supply
The operation continues without alarming.
Control circuit
power supply
Bus voltage
Undervoltage level
(Note)
A
LM
(Malfunction)
MTTR
(During tough drive)
MBR
(Electromagnetic
brake interlock)
Base circuit
WNG
(Warning)
[Pr. PF25]
Instantaneous power failure time of the
control circuit power supply
ON
OFF
ON
OFF
ON
OFF
ON
OFF
ON
OFF
ON
OFF
Note. Refer to table 7.1 for the undervoltage level.

Table of Contents

Related product manuals